Alcohol coniferílico
Alcohol coniferílico es un compuesto orgánico. Es un fitoquímico incoloro sólido y cristalino, uno de los monolignoles. Se sintetiza a través de la vía bioquímica fenilpropanoide. Cuando polimeriza con compuestos aromáticos relacionados, alcohol coniferil forma lignina o lignanos.[2] Coniferin es un glucósido del alcohol coniferilico.
| Alcohol coniferílico | ||
|---|---|---|
![]() | ||
| Nombre IUPAC | ||
|
4-(3-hydroxy-1-propenyl)- 2-methoxyphenol | ||
| General | ||
| Otros nombres |
4-hydroxy-3-methoxycinnamyl alcohol Coniferol | |
| Fórmula estructural |
| |
| Fórmula molecular | C10H12O3 | |
| Identificadores | ||
| Número CAS | 458-35-5[1] | |
| ChEBI | 17745 | |
| ChEMBL | 501870 | |
| ChemSpider | 1266063 | |
| PubChem | 1549095 | |
| UNII | E7SM92591P | |
| KEGG | C00590 | |
|
Oc1ccc(cc1OC)/C=C/CO
| ||
| Propiedades físicas | ||
| Masa molar | 180,0786438 g/mol | |
| Valores en el SI y en condiciones estándar (25 ℃ y 1 atm), salvo que se indique lo contrario. | ||
Alcohol coniferílico es un intermedio en la biosíntesis del eugenol y de estilbenoides y cumarinas. El benjuí contiene cantidad significativa de alcohol coniferílico y sus ésteres.
Se encuentra tanto en plantas gimnospermas y angiospermas. el alcohol sinapílico y el alcohol paracoumaryl, los otros dos monómeros de la lignina, se encuentran en las plantas angiospermas plantas e hierbas.
Se trata de una feromona séquito de reina (QRP), un tipo de feromona de las abejas que se encuentra en las glándulas mandibulares.[3]
Biosíntesis
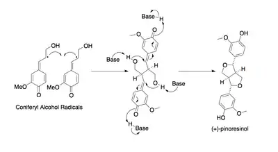
A primera proteína fue descubierta en Forsythia intermedia. Esta proteína se ha encontrado para dirigir la biosíntesis estereoselectiva de (+)-pinoresinol de monómeros del alcohol coniferílico.[4] Recientemente, una segunda proteína fue identificado en Arabidopsis thaliana, que dirige la síntesis enantioselectiva de (-). pinoresinol-.[5]
-Pinoresinol_Biosynthesis.png.webp)
Referencias
- Número CAS
- Kenji liyama, Thi Bach-Tuyet Lam, and Bruce A. Stone (1994). «Covalent Cross-Links in the Cell Wall». Plant Physiology 104 (2): 315-320. PMC 159201. PMID 12232082.
- Keeling, C. I., Slessor, K. N., Higo, H. A. and Winston, M. L. (2003) Isolation and identification of new components of the honey bee (Apis mellifera L.) queen retinue pheromone. PNAS, April 15, 2003 vol. 100 no. 8 4486-4491, doi 10.1073/pnas.0836984100
- Davin LB, Wang HB, Crowell AL, et al. (1997). «Stereoselective bimolecular phenoxy radical coupling by an auxiliary (dirigent) protein without an active center». Science 275 (5298): 362-6. PMID 8994027. doi:10.1126/science.275.5298.362.
- Pickel B, Constantin M-A, Pfannsteil J, Conrad J, Beifuss U, Schaffer A (March 2007). «An Enantiocomplementary Dirigent Protein for the Enantioselective Laccase-Catalyzed Oxidative Coupling of Phenols». Angewandte Chemistry 53 (4): 273-284. doi:10.1007/s10086-007-0892-x.
Enlaces externos
- Esta obra contiene una traducción derivada de «Coniferyl alcohol» de Wikipedia en inglés, publicada por sus editores bajo la Licencia de documentación libre de GNU y la Licencia Creative Commons Atribución-CompartirIgual 4.0 Internacional.
