Alquinilación
La alquinilación es una reacción de adición en la síntesis orgánica donde un alquino terminal se agrega a un grupo carbonilo para formar un alcohol α - alquinílico.[1][2] Cuando el acetiluro se forma a partir del acetileno, la reacción da un alcohol α- etinílico. Este proceso a menudo se conoce como etinilación. Tal proceso a menudo involucra intermediarios de acetiluro metálico.
Alcance
La principal reacción de interés consiste en la adición del acetileno a una cetona o aldehído:
- RCOR '+ HC≡CR "→ RR'C (OH) C≡CR"
La reacción procede con la retención del triple enlace. Para los aldehídos y las cetonas asimétricas, el producto es quiral, por lo que hay interés en las variantes asimétricas. Estas reacciones invariablemente involucran intermedios metal-acetiluro.
Esta reacción fue descubierta por el químico John Ulric Nef en 1899 mientras experimentaba con reacciones de sodio elemental, fenilacetileno y acetofenona.[3][4] Por esta razón, la reacción a veces se denomina síntesis de Nef. A veces, a esta reacción se le llama erróneamente reacción de Nef, un nombre que se usa con más frecuencia para describir una reacción diferente (ver reacción de Nef).[1][3][5] El químico Walter Reppe acuñó el término etinilación durante su trabajo con compuestos de acetileno y carbonilo.[6]
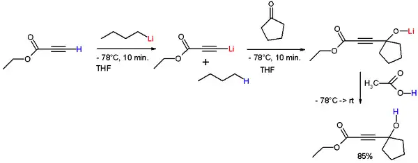
En la siguiente reacción, el protón alquino del propiolato de etilo se desprotona por n- butillitio a -78 °C para formar el propiotolato de litio etílico al que se agrega ciclopentanona formando un alcóxido de litio. Se agrega ácido acético para eliminar el litio y liberar el alcohol libre.[7]

Modificaciones
Se conocen varias modificaciones de las reacciones de la alquinilación:
- En la Síntesis de Arens-van Dorp, el compuesto etoxiacetileno[8] se convierte en un reactivo de Grignard y reacciona con una cetona, el producto de reacción es un alcohol propargílico.[9][10]
- La modificación de Isler es una modificación de la Síntesis de Arens-van Dorp en la que el etoxiacetileno se reemplaza por el β- clorovinil éter y la amida de litio.[9]
Usos
La alquinilación encuentra uso en la síntesis de productos farmacéuticos, particularmente en la preparación de hormonas esteroides.[12] Por ejemplo, la etinilación de 17-cetosteroides produce importantes medicamentos anticonceptivos conocidos como progestinas. Los ejemplos incluyen drogas como noretisterona, etisterona, y linestrenol.[13] La hidrogenación de estos compuestos produce esteroides anabólicos con biodisponibilidad oral, como la noretandrolona.[14]
La alquinilación se utiliza para preparar productos químicos básicos como el alcohol propargílico,[1][15] butinodiol, 2-metilbut-3-in-2-ol (un precursor de isoprenos como la vitamina A), 3-hexino-2,5- diol (un precursor de Furaneol),[16] y 2-metil-2-hepten-6-ona (un precursor de Linalool).
Condiciones de reacción
Para las reacciones estequiométricas que implican metal alcalino o acetiluros alcalinotérreos, trabajo en marcha para la reacción requiere la liberación del alcohol. Para lograr esta hidrólisis, a menudo se emplean ácidos acuosos.[7][17]
Los disolventes comunes para la reacción incluyen éteres, acetales, dimetilformamida,[1] y dimetilsulfóxido.[18]
Variaciones
Reactivos de Grignard
Se pueden usar reactivos de Grignard de acetileno o alquinos para realizar alquinilaciones en compuestos que son susceptibles de reacciones de polimerización a través de intermedios de enolato. Sin embargo, al sustituir los acetiluros de sodio o potasio con litio se obtienen resultados similares, lo que a menudo brinda a esta ruta poca ventaja sobre la reacción convencional.[1]
Reacción de Favorskii
La reacción de Favorskii es un conjunto alternativo de condiciones de reacción, que implica la reacción previa del acetileno con un hidróxido de metal alcalino tal como KOH.[1] La reacción procede a través de equilibrios, haciendo que la reacción sea reversible:
- HC≡CH + KOH
HC≡CK + H2O - RR'C=O + HC≡CK
RR'C(OK)C≡CH
Para superar esta reversibilidad, la reacción a menudo usa un exceso de base para atrapar el agua como hidratos.[1]
Química de Reppe
El químico Walter Reppe fue pionero en la etinilación catalítica a escala industrial utilizando acetileno con metal alcalino y acetiluros de cobre (I):[1]
Estas reacciones se utilizan para fabricar alcohol propargílico y butinodiol.[15] Los acetiluros de metales alcalinos, que a menudo son más efectivos para las adiciones de cetonas, se usan para producir 2-metil-3-butin-2-ol a partir de acetileno y acetona.
Véase también
Reacciones de acoplamiento de alquinos
Referencias
- Viehe, Heinz Günter (1969). Chemistry of acetylenes. New York : M. Dekker. p. 19.
- Kutepow, Nikolaus von (1972). «Chemistry of acetylenes. Von H. G. Viehe. Marcel Dekker Inc., New York 1969. 1. Aufl., XV, 1298 S., zahlr. Tab. u. Formeln, geb. $ 59.50». Angewandte Chemie (en inglés) 84 (8): 367-367. ISSN 1521-3757. doi:10.1002/ange.19720840843.
- Wolfrom, Melville L. (1960). «John Ulric Nef: 1862—1915». Biographical Memoirs (1st edición). Washington, DC: National Academy of Sciences. p. 218. Consultado el 24 de febrero de 2016.
- Nef, J. V. (1 de enero de 1899). «Ueber das Phenylacetylen, seine Salze und seine Halogensubstitutionsproducte». Justus Liebigs Annalen der Chemie 308 (3): 264-328. ISSN 0075-4617. doi:10.1002/jlac.18993080303.
- Smith, Michael B.; March, Jerry (2007). «Chapter 16. Addition to Carbon–Hetero Multiple Bonds». March's Advanced Organic Chemistry: Reactions, Mechanisms, and Structure (6th edición). Hoboken, New Jersey: John Wiley & Sons, Inc. pp. 1359–1360. ISBN 9780471720911. doi:10.1002/9780470084960.ch16.
- Viehe, Heinz Günter (1969). Chemistry of acetylenes. New York : M. Dekker. p. 169.
- Midland, M. Mark; Tramontano, Alfonso; Cable, John R. (1 de enero de 1980). «Synthesis of alkyl 4-hydroxy-2-alkynoates». The Journal of Organic Chemistry 45 (1): 28-29. ISSN 0022-3263. doi:10.1021/jo01289a006.
- Jones, E. R. H.; Eglinton, Geoffrey; Whiting, M. C.; Shaw, B. L. (1954). «Ethoxyacetylene». Organic Syntheses (en inglés) 34: 46. ISSN 0078-6209. doi:10.15227/orgsyn.034.0046.
- Wang, ed. (2009). «Arens-van Dorp Reaction (Isler Modification)». Comprehensive Organic Name Reactions and Reagents (1st edición). Hoboken, NJ: Wiley-Interscience. ISBN 9780471704508. doi:10.1002/9780470638859.conrr023.
- Van Dorp, D. a.; Arens, J. F. (1947-08). «Synthesis of Vitamin A Aldehyde». Nature (en inglés) 160 (4058): 189-189. ISSN 1476-4687. doi:10.1038/160189a0.
- Trost, Barry M.; Weiss, Andrew H. (2009). «The enantioselective addition of alkyne nucleophiles to carbonyl groups». Advanced Synthesis & Catalysis 351: 963-983. PMC 3864370. doi:10.1002/adsc.200800776.
- Sandow, Jürgen; Scheiffele, Ekkehard; Haring, Michael; Neef, Günter; Prezewowsky, Klaus; Stache, Ulrich (2000). «Hormones». Ullmann's Encyclopedia of Industrial Chemistry. doi:10.1002/14356007.a13_089.
- Sondheimer, Franz; Rosenkranz, G.; Miramontes, L.; Djerassi, Carl (1954). «Steroids. LIV. Synthesis of 19-Nor-17α-ethynyltestosterone and 19-Nor-17α-methyltestosterone». Journal of the American Chemical Society 76 (16): 4092-4094. doi:10.1021/ja01645a010.
- Hershberg, E. B.; Oliveto, Eugene P.; Gerold, Corinne; Johnson, Lois (1951). «Selective Reduction and Hydrogenation of Unsaturated Steroids». Journal of the American Chemical Society 73 (11): 5073-5076. doi:10.1021/ja01155a015.
- Pässler, Peter; Hefner, Werner; Buckl, Klaus; Meinass, Helmut; Meiswinkel, Andreas; Wernicke, Hans-Jürgen; Ebersberg, Günter; Müller, Richard et al. (2008). Ullmann's Encyclopedia of Industrial Chemistry (en inglés). American Cancer Society. ISBN 978-3-527-30673-2. doi:10.1002/14356007.a01_097.pub3.
- Fahlbusch, Karl-Georg; Hammerschmidt, Franz-Josef; Panten, Johannes; Pickenhagen, Wilhelm; Schatkowski, Dietmar; Bauer, Kurt; Garbe, Dorothea; Surburg, Horst (2003). Ullmann's Encyclopedia of Industrial Chemistry (en inglés). American Cancer Society. ISBN 978-3-527-30673-2. doi:10.1002/14356007.a11_141.
- Coffman, Donald D. (1940). «Dimethylethhynylcarbinol». Organic Syntheses 40: 20. doi:10.15227/orgsyn.020.0040.
- Sobenina, L. N.; Tomilin, D. N.; Petrova, O. V.; Mikhaleva, A. I.; Trofimov, B. A. (1 de marzo de 2013). «Synthesis of secondary propargyl alcohols from aromatic and heteroaromatic aldehydes and acetylene in the system KOH-H2O-DMSO». Russian Journal of Organic Chemistry (en inglés) 49 (3): 356-359. ISSN 1608-3393. doi:10.1134/S107042801303007X.
