Anelación de Robinson
La anelación (o anulación) de Robinson es una reacción orgánica usada para la síntesis de ciclohexenonas (un anillo de seis miembros con una cetona α,β-insaturada) partiendo de una cetona y metil vinil cetona. Debe su nombre al químico británico que la descubrió, Sir Robert Robinson (Universidad de Oxford).[1]

Ha encontrado una importante aplicación en la síntesis de productos naturales, en particular en la síntesis de compuestos policíclicos.
Mecanismo de reacción
La participación de la metil vinil cetona (o derivados) es esencial ya que simultáneamente es un aceptor de Michael y capaz a continuación de tomar parte en una condensación aldólica. La primera etapa en la anelación de Robinson es una adición de Michael seguida de una condensación aldólica para formar la ciclohexenona deseada.

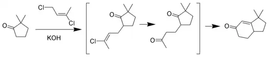
Reacción de Wichterle
La reacción de Wichterle es una variante de la anulación de Robinson que reemplaza la metil vinil cetona con 1,3-dicloro-cis-2-buteno.[2][3][4]

Referencias
- K. Peter C. Vollhardt (1994). Química Orgánica. Barcelona: Ediciones Omega S.A. ISBN 84-282-0882-4.
- Wichterle, O. et al. Coll. Czech. Chem. Commun. 1948, 13, 300.
- Kobayashi, M.; Matsumoto, T. Chem. Lett. 1973, 957.
- Organic Syntheses, Coll. Vol. 5, p.869 (1973); Vol. 45, p.80 (1965). (Article Archivado el 26 de septiembre de 2011 en Wayback Machine.)