Cardiolipina
La cardiolipina (nombre IUPAC “1,3-bis(sn-3’-fosfatidil)-sn-glicerol) es un lípido que se encuentra de forma exclusiva en la membrana bacteriana o en la membrana mitocondrial interna, donde constituye alrededor del 20% de la composición lipídica de la membrana. También es un componente minoritario de las lipoproteínas del plasma humano aunque es el lípido aniónico más abundante.[1] Posee una estructura dimérica única que contiene unidos cuatro ácidos grasos y posee dos cargas negativas. Una de las principales funciones de la cardiolipina es que sin su presencia en la membrana mitocondrial interna, una gran cantidad de enzimas de la fosforilación oxidativa no podrían desarrollar su función correspondiente. Variaciones en el contenido o estructura de cardiolipina se han descrito en numerosas alteraciones patológicas.[2]

Estructura

Dos fosfatidilgliceroles se enlazan con un glicerol central para formar la estructura característica de la cardiolipina. La forma dimérica se enlaza con cuatro cadenas de ácidos grasos denominados grupos acil. Generalmente, estos grupos acil corresponden a cadenas lipídicas de 18 carbonos con 2 enlaces insaturados en cada una de ellas. Según los tipos de cadenas lipídicas la afinidad de la molécula por las proteínas se puede ver incrementada o disminuida. Los dos grupo fosfato de la molécula pueden atrapar un protón y presentan distintos ambientes químicos lo que conlleva a que presenten diferentes niveles de acidez: pK1=2,8 y pK2>7,5. La débil acidez del segundo grupo fosfato es el resultado de la formación de un puente de hidrógeno estable intermolecular con el grupo 2’-hidroxil. Bajo condiciones fisiológicas, donde el pH se sitúa alrededor de 7, la molécula presenta una carga negativa neta en vez de dos, donde a causa del enlace de hidrógeno, la molécula atrapa un protón y forma una estructura resonante dicíclica.
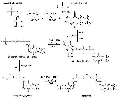
Biosíntesis de los fosfolípidos de membrana
En general definimos un fosfolípido como una biomolécula de lípido con uno o más grupos fosfato. En el caso de los fosfolípidos de membrana, como la cardiolipina, los primeros pasos en la síntesis de glicerolfosfolípidos están compartidos con la ruta de los triacilgliceroles: dos grupos acil graso se esterifican (enlace entre dos grupos alcohol o –OH con pérdida de una molécula de agua) con C-1 y C-2 del L-glicerol-3-fosfato para formar fosfatidato. Frecuentemente, pero no de modo invariable, el ácido graso en C-1 es saturado mientras que el de C-2 es insaturado.[3] Una segunda ruta hasta el fosfatidato la construye la fosforilación de un diacilglicerol por una quinasa específica.
El grupo polar de cabeza de los glicerofosfolípidos está unido mediante un enlace fosfodiéster, en el que cada uno de los dos hidroxilos alcohólicos (uno sobre el grupo polar de cabeza y otro sobre el C-3 del glicerol) forma un éster con el ácido fosfórico. En el proceso biosintético se activa primero uno de los hidroxilos por unión de un nucleótido, la citidina difosfato (CDP). Se desplaza seguidamente la citidina monofosfato (CMP) mediante un ataque nucleofílico por el otro hidroxilo.[3] El CDP se une al diacilglicerol, formando en efecto un fosfatidato activado, CDP-diacilglicerol (ruta 1) o al hidroxilo del grupo de cabeza (ruta 2).
Síntesis en E. coli
En esta bacteria la formación de cardiolipina se puede producir por condensación de dos moléculas de fosfatidilglicerol con eliminación de un glicerol por medio de la cardiolipina sintetasa bacteriana.[4] El fosfatidilglicerol, a partir del cual obtenemos la cardiolipina, se obtiene a partir de la activación del diacilglicerol anterior por condensación del fosfatidato con CTP formando CDP-diacilglicerol con eliminación de un grupo pirofosfato. A partir de esta situación se produce el desplazamiento de CMP mediante un ataque nucleofílico por el hidroxilo en C-1 del glicerol-3-fosfato produciendo fosfatidil-3-fosfato, el cual es modificado mediante la rotura del monoéster fosfato (con eliminación de Pi) dando fosfatidilglicerol.[5]
En los eucariotas el fosfatidilglicerol, la cardiolipina y los fosfatidilinositoles (todos fosfolípidos ácidos) se sintetizan con la misma estrategia utilizada para la síntesis de fosfolípidos en las bacterias, pero en el caso de las células eucariotas el fosfatidilglicerol se condensa con CDP-diacilglicerol, no con otra molécula de fosfatidilglicerol como en el caso de la E. coli.[4][3]

Funciones de la cardiolipina
La cardiolipina es el componente específico de la membrana mitocondrial interna; por eso la función en este compartimiento celular es crucial ya que desempeña un papel muy importante en el desarrollo de la fosforilación oxidativa.[6] La fosforilación oxidativa es el proceso mediante el cual se genera energía en forma de ATP para la célula; por eso, interactúa con un gran número de proteínas y enzimas mitocondriales. La cardiolipina se ha hallado en cristales de complejos mitocondriales tales como el complejo III, complejo IV y el transportador ADP-ATP todos ellos claves en la respiración mitocondrial.[7] Se conoce que la cardiolipina es esencial para la estabilidad de este último, ya que requiere dos moléculas asociadas para mantener la estructura cuaternaria y su completa función enzimática. En el caso del complejo citocromo bc1, que sirve de para translocar protones a través de la membrana interna y enlaza el paso de los electrones entre la ubiquinona y el citocromo c, se ha estudiado la interacción de la cardiolipina con éste. Una molécula de cardiolipina está enlazada cerca del lugar donde la ubiquinona se reduce para mantener la estabilidad del centro catalítico así como de ayuda para el gradiente de protones. En la fosforilación oxidativa también desempeña un papel importante en el gradiente de protones desde la membrana mitocondrial interna hacia el espacio intermembrana y ayuda a minimizar los cambios de pH posibles.[8] Este hecho se debe a que, debido a su conformación espacial única, puede atrapar un protón entre la estructura bicíclica mientras transporta una carga negativa. Por lo tanto, puede retener electrones mientras almacena protones para cederlos o absorberlos para mantener el pH.
Durante el proceso de la apoptosis, o muerte celular programada, se dan una serie de reacciones químicas entre la cardiolipina y el citocromo c que desencadenan el proceso de la muerte celular. La reacción más importante del proceso consiste en que el citocromo c actúa como una enzima peroxidasa interactuando específicamente con la cardiolipina para oxidarla. Como resultado de esta reacción la cardiolipina se desplaza a la membrana mitocondrial externa donde crea un poro en la membrana que permite que el citocromo c salga al exterior de la mitocondria. Además, la cardiolipina en la membrana mitocondrial externa anclará una proteína denominada caspasa que también es un factor clave en la apoptosis. Finalmente, el citocromo c se unirá al IP3, que es un receptor específico del retículo endoplasmático para la descarga de calcio en la célula hasta alcanzar niveles tóxicos.[9] En tejidos animales, la cardiolipina actúa como cofactor para el paso de moléculas de colesterol desde la membrana mitocondrial externa hacia la membrana mitocondrial interna. Además, puede ayudar al anclaje del colesterol en la membrana y un estimulador para la formación de esteroides. Otra función posible de la cardiolipina es que puede actuar como chaperona para el plegamiento de proteínas mitocondriales. Debido a que la cardiolipina es también un componente las lipoproteínas del plasma sanguíneo, se cree que puede estar relacionada con la función anticoagulante.
En los metáfitos superiores también forma parte del fotosistema II que está involucrado en procesos oxidativos para la obtención de ATP. Por lo tanto, debido a la similitud con la fosforilación oxidativa, mantiene la estructura y las funciones de los complejos de este proceso.[6]
En eubacterias también presenta una función importante en la obtención de energía y además se encuentra en los microdominios lipídicos de la membrana bacteriana donde hay una intensa biosíntesis de fosfolípidos.[4] Finalmente, otros procesos en los cuales está involucrada pero aún no se conoce muy bien su papel estructural, puede ser la división celular así como la esporulación.
Papel de la cardiolipina en la evolución (teoría endosimbionte)
Recientes estudios con hidrogenosomas han demostrado la presencia de cardiolipina en la membrana de este compartimiento celular. Los hidrogenosomas están presentes en aquellos organismos en los cuales no se presentan mitocondrias, tales como tricomonas y otras especies de protistas de medios anaerobios o con bajos niveles de oxígeno. Debido a la gran cantidad de similitudes tanto morfológicas como funcionales con las mitocondrias, entre ellas la presencia de cardiolipina, se propuso la hipótesis de que los hidrogenosomas provenían de mitocondrias adaptadas a ambientes anaeróbicos.[10]
Como se ha descrito anteriormente, la cardiolipina únicamente se encuentra en las membranas bacterianas y en las mitocondriales interna y presenta diversas funciones descritas a continuación como por ejemplo un papel sumamente importante en la fosforilación oxidativa. En el caso de los hidrogenosomas, la cardiolipina no interviene en la cadena respiratoria ya que principalmente se encuentra en niveles nulos de oxígeno pero presenta las mismas funciones que en bacterias o mitocondrias.[10] Por esta razón, se descarta la hipótesis de que los hidrogenosomas provengan de las mitocondrias pero gracias a la presencia de cardiolipina se intuye que estos compartimentos provienen de un mismo antepasado común denominado α-proteobacteria que sufrió un proceso endosimbionte para dar lugar a la primera célula eucariota.
Enfermedades asociadas
Síndrome de Barth
El síndrome de Barth es una enfermedad hereditaria ligada al cromosoma X caracterizado por una mutación 3,8,10 del G4.5 Xq 28-ligado la cual afecta al metabolismo lipídico en los varones. Aquellos varones que lo padecen presentan hipotonía (baja tonificación muscular) y cardiomiopatía dilatada (respiración dificultosa, poco apetito o lento aumento de peso) dentro de los primeros meses de recién nacido. Además se puede observar infecciones bacterianas debidas a la neutropenia (reducción del número de glóbulos blancos del tipo neutrófilos), fatiga y baja talla; aunque no suelen ser muchas (solo una o dos) las anormalidades presentes en los niños y frecuentemente mal diagnosticadas. De hecho, menos de 10 nuevos lactantes con Barth son diagnosticados cada año en USA. Suele ser una enfermedad que afecta a varios grupos étnicos pero a ninguno en especial y se cree (a pesar de su escaso éxito en el diagnóstico) que su incidencia en USA es de 1 de cada 300.000 – 400.000 nacimientos.[11] El gen del Síndrome de Barth, Tafazzin (TAZ), está localizado (como se ha dicho anteriormente de forma resumida) en el brazo largo del cromosoma X (Xq28). La mutación del gen TAZ disminuye la producción de una enzima requerida para la síntesis de “cardiolipina”.[12][13] No hay un tratamiento específico, pero cada problema individual puede ser satisfactoriamente controlado, y tanto la enfermedad cardíaca como la baja talla a menudo se resuelven totalmente después de la pubertad.
Síntomas del Síndrome de Barth
- - Debilidad músculo-esquelética
- - Hipotonía
- - Insuficiencia Ventricular Izquierda
- - Defectos del septo ventricular
- - Retraso cognitivo en el cálculo matemático y en las tareas que requieren habilidades visual-espaciales
- - Hipoglucemia en la infancia temprana
- - Fribroelastosis endocardiaca
- - Retraso del desarrollo motor
- - Trasposición de las grandes arteria
- - Fatiga al hacer esfuerzo
- - Infecciones Bacteriana
Sífilis

La sífilis es una enfermedad de transmisión sexual (ETS) causada por Treponema pallidum. A esta enfermedad se la llama “la gran imitadora” ya que muchos de sus signos y síntomas no se distinguen fácilmente de otras enfermedades. La enfermedad se contagia por contacto directo con una úlcera sifilítica. Estas aparecen tras la infección en zonas como los genitales externos, la vagina, el ano o el recto. Aunque también pueden salir en los labios o la boca. La transmisión se produce durante las relaciones sexuales vaginales, anales u orales. Si una mujer con sífilis se quedara embarazada podría pasársela al feto vía cordón umbilical.[14] Los primeros síntomas suelen ser la aparición de una úlcera (o varias) a los 21 días de promedio (pero pueden ser hasta 90) de aspecto firme, redondo, pequeño e indoloro que sin el tratamiento puede durar entre 3 y 6 semanas. En una segunda fase también pueden aparecer erupciones en la piel en forma de puntos rugosos de color rojo o marrón en palmas de manos o pies además de fiebre e inflamación de los ganglios linfáticos, dolor de cabeza, pérdida de peso, dolores musculares, fatiga o pérdida de cabello en algunas zonas entre otros síntomas. Por todo ello es necesaria la presencia de una buena prueba diagnóstica que nos permita detectar la enfermedad fiablemente. De forma directa se puede hacer mediante la elaboración de una muestra, para la siguiente observación en un microscopio de campo oscuro, a partir de un raspado de la lesión producida por la bacteria. Pero ello se debe de hacer antes de la aparición de los primeros anticuerpos y no siempre es posible. En este caso la cardiolipina nos puede ser útil en el diagnóstico de esta enfermedad. Este “diagnóstico indirecto” se basa en poner en evidencia los anticuerpos que produce la infección, por estimulación inmunológica, en el organismo; a partir de las reacciones de desviación del complemento descubiertas por Bordet y Genou en 1901 y aplicadas para la sífilis por Wassermann, Neisser y Bruck el 1906 utilizando hígado de feto sifilítico, muy rico en treponemas, cosa que motivó el descubrimiento de anticuerpos cruzados de otros órganos, como la cardiolipina, facilitando la división de antígenos treponémicos y no treponémicos con pruebas de precipitación o hemólisis además de las de desviación del complemento ya dichas.
Diabetes
La Diabetes Mellitus es una enfermedad metabólica común caracterizada por una deficiencia de insulina (tipo 1) o a una insensibilidad (tipo 2) resultando en una hiperglucemia crónica, alteración de la utilización del sustrato y una variedad de complicaciones tales como neuropatías o cardiomiopatías. La cardiolipina no ha sido estudiada en ningún tejido procedente de un diabético (humano), pero sí en modelos de ratas llevando a resultados no concluyentes. En ratas tratadas con estreptozotocina (un tóxico que se emplea para inducir una diabetes del tipo 1 o para el tratamiento de cáncer de los islotes de Langerhans en el páncreas) los niveles de cardiolipina mitocondrial han sufrido un descenso en el cerebro, un aumento en el hígado y se han mantenido sin cambios en el corazón.[15] Además no encontraron ningún efecto en ratas con diabetes del tipo 1 inducido por estreptozotocina o hiperinsulinemia en los niveles de cardiolipina cardíaca o en las actividades de síntesis de ésta. Por consiguiente, mientras parece que no hay cambios en los niveles y metabolismo de cardiolipina en el corazón de rata, un futuro estudio es requerido para aclarar el papel que pueden desempeñar cambios en la cardiolipina en otros órganos afectados por la diabetes.
Consumo crónico de etanol
El consumo crónico de etanol se ha relacionado en varios estudios con un descenso de los niveles de cardiolipina (del tipo 18:2), cosa que lleva a una mayor cantidad de cardiolipina saturada en las mitocondrias del hígado.[16] Los autores del estudio propusieron que esas alteraciones se pueden interpretar como una resistencia de la membrana mitocondrial a los desórdenes provocados por el etanol. Los mecanismos mediante los cuales el etanol altera la composición no se conocen, pero es posible que estén relacionadas con una remodelación defectuosa de la cardiolipina “naciente” o bien por un decrecimiento en la biodisponibilidad de cardiolipina 18:2 a causa de los cambios que induce el etanol sobre la actividad las desaturasas de los ácidos grasos. Aun así, este tema necesita de más investigación.
Enfermedad neurodegenerativa
El estrés oxidativo y la peroxidación lipídica se cree que son factores que contribuyen a la pérdida de neuronas y a la disfunción mitocondrial en la sustancia negra en el Parkinson, y es posible que juegue un temprano rol en el origen del Alzheimer. Descensos en los niveles de cardiolipina han sido notificados en anginas cerebrales y se ha demostrado que su origen era la peroxidación de lípidos en mitocondrias de cerebro de rata expuestos a un estrés de radicales libres. Mientras que parece no haber ningún cambio en la composición de cardiolipina en el cerebro de los pacientes con Alzheimer, un estudio reciente por Ellis et al. proporciona evidencias de un papel importante de las alteraciones de la cardiolipina en el Parkinson. Mutaciones en el gen que codifica la proteína presináptica α-sinucleina están implicadas en el Parkinson. Ellis et al. Encontró que en ratones con falta de α-sinucleina mostraban una reducción de la masa de la cardiolipina del 22% en el cerebro, una reducción de la cardiolipina poliinsaturada y un incremento del 51% de la cardiolipina saturada.[16] También se observó una reducción del 23% del contenido en fosfatidilglicerol, un precursor de la cardiolipina, sin ningún cambio en el contenido de otros fosfolípidos cerebrales o mitocondriales, sugiriendo que la biosíntesis de cardiolipina es posible que esté alterada de forma selectiva. Estás alteraciones fueron asociadas a la reducción de un 15% de la actividad de la cadena de transporte de electrones ligada al complejo I/III, hecho que se piensa que es crítico en el desarrollo de Parkinson.
Deficiencia de 18:2 (ácido linoleico) en dieta
La manipulación de la composición de los ácidos grasos en la dieta se ha relacionado con una modificación de la composición de la cardiolipina en el corazón, el hígado, el cerebro y el riñón. Estudios por Yamaoka et al. demostraron que una deficiencia de ácidos grasos 18:2 en dieta durante 30 días reduce de forma significativa el contenido de cardiolipina tetralinoleilca y el consumo de oxígeno por parte de la mitocondria en el corazón de rata.[16] Además de destacar la importancia de la ingesta suficiente de 18:2 en dieta, estos estudios indican que la alteración de la composición de cardiolipina mediante la manipulación de la composición de ácidos grasos en dieta puede ser un método efectivo para evaluar el papel de la composición de la cardiolipina en otras proteínas y procesos mitocondriales dependientes de cardiolipina.
Síndrome autoinmune de fosfolípidos
Las cardiolipinas pertenecen a la familia de moléculas conocidas como fosfolípidos las cuales ayudan a formar componentes celulares importantes como las membranas. IgM e IgG son diferentes categorías de anticuerpos que son producidos por las células B del sistema inmunitario, generalmente en respuesta a los antígenos que no se encuentran dentro de los valores medios de antígenos expuestos por las células en el cuerpo (antígenos "no propios" en comparación con antígenos "propios"). Entonces, cuando hay una infección bacteriana o viral, o cuando las células normales del cuerpo se transforman en células cancerígenas, el sistema inmunológico responde con la producción de anticuerpos específicos contra los antígenos "no propios". Algunas veces, sin embargo, el sistema inmunológico empieza a producir anticuerpos contra los componentes normales del cuerpo. Esto se denomina respuesta autoinmune y puede producir el aumento de enfermedades. Los anticuerpos anti-cardiolipina se asocian con la formación de coágulos de sangre (trombosis) dentro de condiciones autoinmunes. Por ejemplo, los pacientes con lupus eritematoso sistemático (LES o lupus) están predispuestos a abortos espontáneos, trombocitopenia y trombosis.[17] El término "síndrome anti-fosfolípido" ha sido definido para abarcar a pacientes que presentan estas manifestaciones clínicas en asociación con anticuerpos anti-cardiolipina en las categorías IgM e IgG.
Existen diferentes kits de pruebas disponibles para el estudio de los anticuerpos cardiolipinas y el alcance de los valores normales que se obtienen de esas pruebas son levemente diferentes. Se proveen sueros de calibración, con concentraciones de anti-cardiolipina IgG e IgM expresadas en unidades GPL o MPL, respectivamente. Estas unidades corresponden a las preparaciones internacionalmente reconocidas por el Laboratorio de Estandarización de Fosfolípidos, de la Universidad de Louisville. Los valores son una ayuda para al diagnóstico y deben ser interpretados de acuerdo con la historia clínica del paciente, hallazgos psicológicos y otros procedimientos. Si los valores son más altos que los normales, entonces existe evidencia de una respuesta autoinmune y esto ayudaría a la interpretación de signos clínicos y síntomas.
Métodos de separación y detección de las diferentes especies de cardiolipina
La cardiolipina fue descubierta en 1941 por Mary Pangborn usando suero de pacientes enfermos de sífilis para unir cardiolipina procedente de corazón de ternera. Desarrolló un método para el aislamiento de cardiolipina que hoy en día aún se sigue utilizando. Los distintos métodos para el aislamiento de este lípido se basan principalmente en cuatro propiedades únicas de la cardiolipina.[18] Estas propiedades para el aislamiento son:
- 1. Es el fosfolípido más ácido de los fosfolípidos de la mitocondria.
- 2. Es el único fosfolípido aniónico que se encuentra en cantidades importantes en la membrana mitocondrial interna.
- 3. La masa de la cardiolipina dobla la masa de otros fosfolípidos.
- 4. Generalmente, tiene como mínimo una cadena lipídica 18:2.
Aun así, la separación y cuantificación de la CL ha sido un reto. A menos que se utilice tejido cardíaco o se aíslen mitocondrias, la proporción de CL es pequeña comparada con la cantidad de otros fosfolípidos. Otro problema es que, a excepción de la espectrometría de masas, los fosfolípidos son difíciles de detectar debido a su falta de dobles enlaces y la posesión de grupos funcionales alifáticos que difícilmente reaccionan. Es por eso que los procesos de detección de la CL implican modificaciones como la unión de grupos cromofóricos.
Separación de la CL de otros fosfolípidos
El primer método empleado para separar la CL de otros fosfolípidos fue la cromatografía en capa fina (TLC) en platos de silicio. TLC es un método efectivo y poco caro aún usado hoy en día. Varias mejoras han sido realizadas en la TLC de una dimensión, incluyendo en uso de TLC de dos dimensiones para calcular el contenido de CL. Otros métodos de separación y cuantificación de fosfolípidos emplean la resonancia magnética nuclear en varias formas. Estos métodos son igual de efectivos que los de cromatografía; aun así, no permiten la separación física para estudios posteriores de las clases de fosfolípidos. Cromatografía líquida de alta eficacia (HPLC) ha sido utilizada para clases distintas de fosfolípidos.

El indicador mitocondrial fluorescente, “nonyl acridine orange” (NAO) fue introducido en 1982, y fue posteriormente descubierta para la selección de las mitocondrias mediante su unión a la CL. Varios estudios fueron publicados tras esta nueva función que utilizaban el NAO como indicador de la cantidad de mitocondrias y como indicador del contenido de CL en mitocondrias. Tres estudios fueron publicados tras estos los cuales concluían que el NAO estaba influenciado por el potencial de membrana mitocondrial o por la disposición espacial de la CL, haciéndolo inútil para la cuantificación de la CL o las mitocondrias. Sin embargo, en estudios en los que no se tiene en cuenta el potencial de membrana o la disposición espacial de la CL, como en estudios de electroforesis de la membrana mitocondrial, el NAO sigue siendo un buen método para calcular el contenido de CL.
Separación de las subespecies de CL
Dada la evidencia de que cambios en la composición de la CL (como la peroxidación y aberración de la remodelación de la cadena acil) puede jugar un papel importante en la disfunción y enfermedad mitocondrial, ha crecido la importancia de examinar las diferentes subespecies de CL. CL se puede cuantificar utilizando cromatografía líquida, normalmente combinada con la espectrometría de masas, shotgun lipidomics, espectrometría de masas de imágenes, shotgun lipidomics, espectrometría de masas iónica, fluorometría y trazado radiactivo.[19]
La herramienta más poderosa y sensible para la determinación de la composición de CL es electrospray ionization-mass espectrometry (ESI-MS). Aun así, la ESI-MS requiere un equipamiento especializado y caro, llevando así a dos laboratorios a desarrollar métodos para observar la composición de las cadenas acil de la CL de otras maneras. Un grupo de investigación (Schlame) desarrolló dos métodos para el análisis de las subespecies de CL sin usar el espectrómetro de masas. Su método más temprano empleaba un marcaje fosfato junto a metilaciones y uniones de anillos de benceno de los grupos hidroxilo lo que facilitaba la separación por HPLC y detección por absorbancia de UV. El otro método desarrollado necesitaba de menos material de inicio que el anterior. La técnica, la cual usa CL metilada y marcada fluorescentemente, consume mucho tiempo, pero es barata. El único problema es que esta técnica detecta con facilidad CL con grupos oleato y linileato, pero no es tan útil para detectar otras especies moleculares de CL. Recientemente, varios artículos han sido publicados en los cuales se usaba el ESI-MS para el análisis de la CL. Valianpour et al. y Sparagna et al. usaron los iones de cardiolipina producto del análisis (aquellos con una o dos cargas) para identificar y cuantificar las especies moleculares de cardiolipina usando HPLC acoplado a EIS-MS.
Anticuerpos anticardiolipina
Los anticuerpos anticardiolipina (ACA) son anticuerpos generalmente dirigidos contra la cardiolipina y se encuentran en diversas enfermedades como la sífilis,[20] el síndrome antifosfolípido, vasculitis crónica, insuficiencia vertebrobasilar, síndrome de Beheçet,[21] aborto espontáneo idiopático[22] y lupus eritematoso sistemático (SLE). Son un tipo de anticuerpo antimitocondrial. En SLE, los anticuerpos anti-DNA y anticardiolipina actúan independientemente. En la artritis reumatoide[23] con esclerosis sistémica (escleroderma) estos anticuerpos pueden actuar en dos enfermedades al mismo tiempo. Los anticuerpos anticardiolipina se pueden clasificar de dos maneras.

- Como IgM, IgG o IgA
- Como β2-glicoproteína dependiente o independiente
- En síndrome autoinmune ACA hay beta-2 glicoproteínas dependientes.
- En sífilis, los ACA son beta-2 glicoproteína independientes y pueden ser identificados mediante Venereal Disease Research Laboratory test(VDRL).
Implicación de la apoliproteína H
β2-glicoproteína I se ha identificado como Apoliproteína H y se requiere para el reconocimiento de ACA en síndromes autoinmunes.[24] Sólo un subconjunto de anticuerpos autoinmunes anticardiolipina se unen a la Apo-H, estos antiapolipoproteína están asociados con un incremento de trombosis.
Referencias
- Schlame, M., Ren, M., Xu, Y., Greenberg, M.L. and Haller, I. Molecular symmetry in mitochondrial cardiolipins. Chem. Phys. Lipids, 138, 38-49 (2005).
- BRUCE, Alberts. (2008). "Molecular Biology of the Cell". Garland Science, New York. 867.
- NELSON L, David; M COX, Michael. (2005). "Lehninger. Principios de Bioquímica". Editorial Omega, Barcelona. 661-665
- Schlame, M. Cardiolipin synthesis for the assembly of bacterial and mitochondrial membranes. J. Lipid Res., 49, 1607-1620 (2008).
- Li, G., Chen, S., Thompson, M.N. and Greenberg, M.L. New insights into the regulation of cardiolipin biosynthesis in yeast: Implications for Barth syndrome. Biochim. Biophys. Acta, 1771, 432-441 (2007).
- Schlame, M., Rua, D. and Greenberg, M.L. The biosynthesis and functional role of cardiolipin. Prog. Lipid Res., 39, 257-288 (2000).
- Haines, T.H. and Dencher, N.A. Cardiolipin: a proton trap for oxidative phosphorylation. FEBS Letts, 528, 35-39 (2002).
- Chicco, A.J. and Sparagna, G.C. Role of cardiolipin alterations in mitochondrial dysfunction and disease. Am. J. Physiol. Cell Physiol., 292, C33-C44 (2007).
- Gonzalvez, F. and Gottlieb, E. Cardiolipin: setting the beat of apoptosis. Apoptosis, 12, 877-885 (2007).
- Ivone de Andrade Rosa, Marcelo Einicker-Lamas, Róbson Roney Bernardo. (2006). Cardiolipin in Hydrogenosomes: Evidence of Symbiotic Origin. American Society for Microbiology. Vol. 5, No. 4
- «Barth Syndrome Foundation - El Sindrome De Barth». Archivado desde el original el 25 de febrero de 2010. Consultado el 16 de diciembre de 2009.
- Li, G., Chen, S., Thompson, M.N. and Greenberg, M.L. New insights into the regulation of cardiolipin biosynthesis in yeast: Implications for Barth syndrome. Biochim. Biophys. Acta, 1771, 432-441 (2007).
- Schlame, M. and Ren, M.D. Barth syndrome, a human disorder of cardiolipin metabolism. FEBS Letts, 580, 5450-5455 (2006).
- «Sífilis: MedlinePlus enciclopedia médica». Archivado desde el original el 15 de diciembre de 2009.
- «La diabetes debilita el corazón bajando la grasa del cardiolipin en mitochondria en las noticias del iHealthBulletin».
- Adam J. Chicco and Genevieve C. Sparagna. (2006). Role of cardiolipin alterations in mitochondrial dysfunction and disease.Department of Integrative Physiology, University of Colorado at Boulder, Boulder, Colorado. Agosto
- A. Pujol, J. Conzález, Ch. Ngare. (2003). Complicaciones clínicas en una serie de pacientes con anticuerpos anticardiolipina. An. Sist. Sanit. Navar., Vol. 26. Nº 3, septiembre-diciembre.
- Pangborn M. (1942). "Isolation and purification of a serologically active phospholipid from beef heart". J. Biol. Chem 143: 247–256.
- Bautista, Javier S.; Falabella, Micol; Flannery, Padraig J.; Hanna, Michael G.; Heales, Simon J. R.; Pope, Simon A. S.; Pitceathly, Robert D. S. (1 de diciembre de 2022). «Advances in methods to analyse cardiolipin and their clinical applications». TrAC Trends in Analytical Chemistry (en inglés) 157: 116808. ISSN 0165-9936. doi:10.1016/j.trac.2022.116808. Consultado el 25 de noviembre de 2022.
- Tringali GR, Julian AJ, Halbert WM (1969). "Effect of 2-mercaptoethanol treatment on anticardiolipin reactivity in sera from syphilitics and false positive reactors". The British journal of venereal diseases 45 (3): 202–4.
- Hull RG, Harris EN, Gharavi AE, et al. (1984). "Anticardiolipin antibodies: occurrence in Behçet's syndrome". Ann. Rheum. Dis. 43 (5): 746–8.
- Petri M, Golbus M, Anderson R, Whiting-O'Keefe Q, Corash L, Hellmann D (1987). "Antinuclear antibody, lupus anticoagulant, and anticardiolipin antibody in women with idiopathic habitual abortion. A controlled, prospective study of forty-four women". Arthritis Rheum. 30 (6): 601–6.
- Keane A, Woods R, Dowding V, Roden D, Barry C (1987). "Anticardiolipin antibodies in rheumatoid arthritis". Br. J. Rheumatol. 26 (5): 346–50.
- McNeil HP, Simpson RJ, Chesterman CN, Krilis SA (1990). "Anti-phospholipid antibodies are directed against a complex antigen that includes a lipid-binding inhibitor of coagulation: beta 2-glycoprotein I (apolipoprotein H)". Proc. Natl. Acad. Sci. U.S.A. 87 (11): 4120–4.