Conofilidina
La conofilidina es un alcaloide derivado indoloiridoide aislado de la planta Tabernaemontana divaricata (Apocynaceae). Es un inhibidor de las enzimas farnesil transferasa. LD50 (murino, intraperitoneal) 32.3 mg/kg. [2]
| Conofilidina | ||
|---|---|---|
![]() | ||
| General | ||
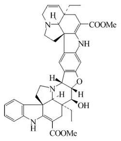
| Fórmula estructural |
![]() | |
| Fórmula molecular | C44H50N4O9 | |
| Identificadores | ||
| Número CAS | 152406-44-5[1] | |
| Propiedades físicas | ||
| Apariencia | Polvo amorfo | |
| Masa molar | 778,9 g/mol | |
| Valores en el SI y en condiciones estándar (25 ℃ y 1 atm), salvo que se indique lo contrario. | ||

Tabernaemontana divaricata
Derivados
| Nombre | Estructura | Fórmula molecular | CAS | Masa molecular (g/mol) | Estado | Fuente natural | Otras propiedades |
|---|---|---|---|---|---|---|---|
| Conofilina (14′β,15′β-Epoxicocofilidina) | ![]() |
C44H50N4O10 | 142741-24-0 | 794.900 | Prismas color amarillo brillante (AcOEt) PF = 181 - 184 °C | Aislado de las hojas de Tabernaemontana divaricata y de hojas de Tabernaemontana glandulosa (Apocynaceae). También se ha aislado, referido como Poliervina de las hojas de Ervatamia polyneura.[3] | [α]D = -133 (c, 0.7 en cloroformo). UV: [neutro]λmax204 (log ε3.43) ;239 (log ε3.23) ;311 (log ε3.25) ;334 (log ε3.31) ( EtOH) |
| Conofilinina (14′,15′-Dihidro-14′α,15′β-dihidroxiconofilinina) | ![]() |
C44H52N4O11 | 812.915 | Aceite color amarillo | Aislado de las hojas de Tabernaemontana divaricata[4] | [α]D = -109 (c, 0.09 en cloroformo). UV: [neutro]λmax204 (log ε3.43) ;239 (log ε3.23) ;311 (log ε3.25) ;334 (log ε3.31) (EtOH) | |
| Meloidina K (11,12-Bis(desmetoxi)-10-desoxiconofilidina) | ![]() |
C42H46N4O6 | 1228757-24-1 | 702.849 | Polvo | Aislado de Melodinus tenuicaudatus[5] | [α]20D = -129.6 (c, 0.24 en cloroformo). UV: [neutro]λmax242 (log ε4.79) ;330 (log ε4.99) ( cloroformo) |
La síntesis total fue realizada por Han-ya[6]
Referencias
- Número CAS
- Kam, T.-S. et al., J. Nat. Prod., 1993, 56, 1865- 1871
- Achenbach, H. et al., Phytochemistry, 1994, 37, 1737- 1743
- Kam, T.S. et al., Org. Biomol. Chem., 2003, 1, 1292- 1297
- Feng, T. et al., J. Nat. Prod., 2010, 73, 1075- 1079
- Han-ya, Y. et al., Angew. Chem., Int. Ed., 2011, 50, 4884- 4887
Este artículo ha sido escrito por Wikipedia. El texto está disponible bajo la licencia Creative Commons - Atribución - CompartirIgual. Pueden aplicarse cláusulas adicionales a los archivos multimedia.



