Cotuzina
Las cotuzinas A y B son pseudoalcaloides obtenidos del extracto butanólico de las partes aéreas (tallos y hojas) de la planta Cotula coronopifolia[1]
| Cotuzinas | ||
|---|---|---|
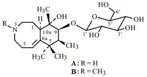
![]() | ||
| Nombre IUPAC | ||
| A: (6E,8S,9S,10S)-10-(α-D-glucopiranosil-1-oxi)-7,7,8,10-tetrametil-1,2,3,4,5,7,8,9,10,10a-decahidro-3-benzazocin-9-ol ; B: N-Metilcotuzina A. | ||
| General | ||
| Fórmula molecular | C21H37NO7 (Cotuzina A) C22H40NO7 (Cotuzina B) | |
| Propiedades físicas | ||
| Masa molar | 415,52 g/mol | |
| Valores en el SI y en condiciones estándar (25 ℃ y 1 atm), salvo que se indique lo contrario. | ||
Propiedades espectroscópicas
El espectro de 13C-RMN indica la presencia de 21 carbonos. El espectro de 1H-RMN muestra las siguientes señales:

Espectro 1H-RMN de la Cotuzina A (Simulación)
Referencias
- Mohamed Ali Mahjoub, Samia Ammar, Kaouther Majouli, Zine Mighri. "TWO NEW ALKALOIDS AND A NEW POLYPHENOLIC COMPOUND FROM Cotula coronopifolia" Chemistry of Natural Compounds (2012) V.47(6):955-958
Este artículo ha sido escrito por Wikipedia. El texto está disponible bajo la licencia Creative Commons - Atribución - CompartirIgual. Pueden aplicarse cláusulas adicionales a los archivos multimedia.
