Duguenaína
La duguenaína es un alcaloide aporfínico modificado que fue aislado por Roblot en 1981 de la planta del género Duguetia, D. calycina (Annonaceae).
| Duguenaína | ||
|---|---|---|
![]() | ||
| Nombre IUPAC | ||
| 9,10-Dihidro-5H,7H-benzo[f][1,3]dioxolo[6,7]isoquino[8,1,2-hij][3,1]benzoxazine | ||
| General | ||
| Fórmula estructural |
![]() | |
| Fórmula molecular | C19H15NO3C19H15NO3 | |
| Identificadores | ||
| Número CAS | 80550-24-9[1] | |
| Propiedades físicas | ||
| Masa molar | 305,332 g/mol | |
| Punto de fusión | 202 °C (475 K) | |
| Valores en el SI y en condiciones estándar (25 ℃ y 1 atm), salvo que se indique lo contrario. | ||
Derivados
La 11-metoxiduguenaína (Duguecalina) también fue encontrada en el extracto de Duguetia calycina. CAS: 80550-25-0. Fórmula molecular: C20H17NO4. Peso molecular: 335.359.[2]
Espectro de resonancia de carbono

Datos de 13C-RMN de la duguenalina
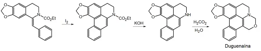
Síntesis
Lenz reportó una síntesis biomimética a partir de N-etoxicarbonil-1-bencilidenisoquinolinas.[3] Éstas fueron tratadas con yodo para así producir N-etoxicarbonilaporfinas. Posteriormente se removía el grupo etoxicarbonil con hidróxido de potasio y finalmente de condensó con formaldehído.
Referencias
- Número CAS
- Atanes, N. et al., JOC, 1991, 56, 2984-2988
- Lenz, G.R. et al."A Biomimetic Synthesis of the Novel 6,7-Oxazine Ring-fused Dehydroaporphine Alkaloid Duguenaine" JCS Perkin (1984) v.1:pp.1273-1277
Este artículo ha sido escrito por Wikipedia. El texto está disponible bajo la licencia Creative Commons - Atribución - CompartirIgual. Pueden aplicarse cláusulas adicionales a los archivos multimedia.

