Egiptinona
Las egiptinonas son quinonas diterpénicas que presentan un esqueleto transpuesto de abietano. Fueron aisladas del extracto antimicrobiano no polar de la planta Salvia aegyptiaca.[2]
| Egiptinonas A y B | ||
|---|---|---|
![]() | ||
| Nombre IUPAC | ||
|
A:(3R)-3,6,10,10-Tetrametil-2,3,7,8,9,10-hexahidroantra[1,2-b]furano-4,5-diona B: 2-hidroxi-3-[(1R)-2-hidroxi-1-metiletil]-5,5,9-trimetil-5,6,7,8-tetrahidroantraceno-1,4-diona | ||
| General | ||
| Fórmula molecular |
A:C20H22O3 | |
| Identificadores | ||
| Número CAS |
A:121704-42-5 | |
| Propiedades físicas | ||
| Apariencia |
A: Prismas color naranja oscuro. | |
| Masa molar |
A:310.3 | |
| Punto de fusión |
A: 135 K (−138 °C) | |
| Valores en el SI y en condiciones estándar (25 ℃ y 1 atm), salvo que se indique lo contrario. | ||
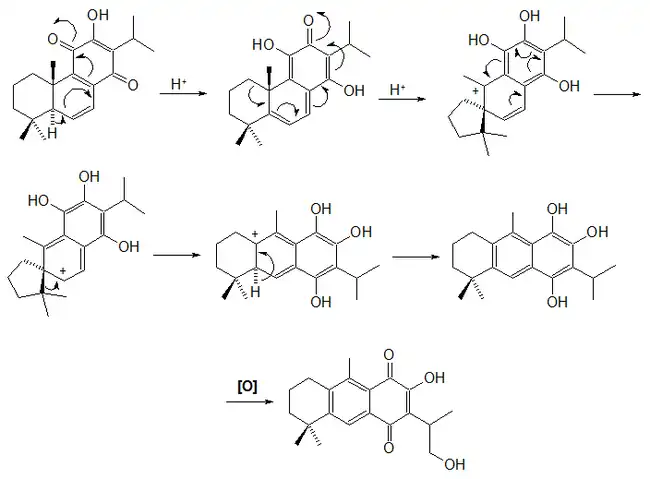
Biosíntesis
Sabri y colaboradores propusieron la siguiente ruta biosintética para la egiptinona B:

Biosíntesis propuesta de la egiptinona B de acuerdo a Sabri.
Referencias
- [http://webbook.nist.gov/cgi/cbook.cgi?ID=A:121704-42-5
B:121704-43-6 Número CAS] - Sabri et al. J. Org. Chem. (1989),54,4097-4099
Este artículo ha sido escrito por Wikipedia. El texto está disponible bajo la licencia Creative Commons - Atribución - CompartirIgual. Pueden aplicarse cláusulas adicionales a los archivos multimedia.
