Fórmula química
Una fórmula química es la representación de los elementos químicos que forman un compuesto químico y la proporción en que se encuentran, o del número de átomos que forman una molécula. También puede darnos información adicional como la manera en que se unen dichos átomos mediante enlaces químicos e incluso su distribución en el espacio. Para nombrarlas, se emplean las reglas de la nomenclatura química. Ejemplo: La fórmula de los silanos[1] A veces, los miembros de una familia química se diferencian entre sí por una unidad constante, generalmente un átomo de carbono adicional en una cadena carbonada.

En química, una fórmula química es una forma de presentar información sobre las proporciones químicas de átomos que constituyen un compuesto químico o molécula en particular, utilizando símbolos de elemento químico, números y, a veces, también otros símbolos, como paréntesis, guiones, corchetes, comas y signos más (+) y menos (-). Se limitan a una sola línea tipográfica de símbolos, que puede incluir subíndices y superíndices. Una fórmula química no es una nombre químico, ya que no contiene ninguna palabra. Aunque una fórmula química puede implicar ciertas estructuras químicas simples, no es lo mismo que una fórmula estructural química completa. Las fórmulas químicas sólo pueden especificar completamente la estructura de las moléculas y sustancias químicas más sencillas, y en general tienen un poder más limitado que los nombres químicos y las fórmulas estructurales.
Los tipos más sencillos de fórmulas químicas se denominan fórmulas empíricas, que utilizan letras y números que indican las proporciones numéricas de átomos de cada tipo. Las fórmulas moleculares indican simplemente los números de cada tipo de átomo en una molécula, sin información sobre la estructura. Por ejemplo, la fórmula empírica de la glucosa es CH
2O (el doble de átomos de hidrógeno que de carbono y oxígeno), mientras que su fórmula molecular es C
6H
12O
6 (12 átomos de hidrógeno, seis de carbono y oxígeno).
A veces una fórmula química se complica al escribirse como una fórmula condensada (o fórmula molecular condensada, a veces llamada "fórmula semiestructural"), que transmite información adicional sobre las formas particulares en que los átomos están enlace químico unidos entre sí, ya sea en enlace covalente, enlace iónico, o varias combinaciones de estos tipos. Esto es posible si el enlace correspondiente es fácil de mostrar en una dimensión. Un ejemplo es la fórmula molecular/química condensada del etanol, que es CH
3−CH
2−OH o CH
3CH
2OH. Sin embargo, incluso una fórmula química condensada está necesariamente limitada en su capacidad para mostrar relaciones de enlace complejas entre átomos, especialmente átomos que tienen enlaces con cuatro o más sustituyentes diferentes.
Dado que una fórmula química debe expresarse como una única línea de símbolos de elementos químicos, a menudo no puede ser tan informativa como una fórmula estructural real, que es una representación gráfica de la relación espacial entre los átomos de los compuestos químicos (véase, por ejemplo, la figura de las fórmulas estructurales y químicas del butano, a la derecha). Por razones de complejidad estructural, una misma fórmula química condensada (o fórmula semiestructural) puede corresponder a distintas moléculas, conocidas como isómeros. Por ejemplo, la glucosa comparte su fórmula molecular C
6H
12O
6 con otros azúcares, como la fructosa, la galactosa y la manosa. Existen nombres químicos equivalentes lineales que pueden especificar y especifican de forma única cualquier fórmula estructural compleja (véase nomenclatura química), pero tales nombres deben utilizar muchos términos (palabras), en lugar de los símbolos de elementos simples, números y símbolos tipográficos simples que definen una fórmula química.
Las fórmulas químicas pueden utilizarse en ecuaciones químicas para describir reacciones químicas y otras transformaciones químicas, como la disolución de compuestos iónicos en una solución. Aunque, como se ha señalado, las fórmulas químicas no tienen todo el poder de las fórmulas estructurales para mostrar las relaciones químicas entre los átomos, son suficientes para llevar la cuenta de los números de átomos y los números de cargas eléctricas en las reacciones químicas, por lo que balancing chemical equations para que estas ecuaciones se puedan utilizar en problemas químicos que implican la conservación de los átomos, y la conservación de la carga eléctrica.
Existen varios tipos de fórmulas químicas:[2]
Resumen
Una fórmula química identifica cada elemento constituyente por su símbolo químico e indica el número proporcional de átomos de cada elemento. En las fórmulas empíricas, estas proporciones comienzan con un elemento clave y luego asignan números de átomos de los otros elementos en el compuesto, por proporciones al elemento clave. En el caso de los compuestos moleculares, todas estas proporciones pueden expresarse como números enteros. Por ejemplo, la fórmula empírica del etanol puede escribirse C
2H
6O porque todas las moléculas de etanol contienen dos átomos de carbono, seis átomos de hidrógeno y un átomo de oxígeno. Sin embargo, algunos tipos de compuestos iónicos no pueden escribirse con fórmulas empíricas de números enteros. Un ejemplo es el carburo de boro, cuya fórmula de CB
n es una relación variable de números no enteros con n que oscila entre más de 4 y más de 6,5.
Cuando el compuesto químico de la fórmula está formado por moléculas simples, las fórmulas químicas suelen emplear formas de sugerir la estructura de la molécula. Estos tipos de fórmulas se conocen como fórmulas moleculares y fórmulas condensadas'. Una fórmula molecular enumera el número de átomos para reflejar los de la molécula, de modo que la fórmula molecular de la glucosa es C
6H
12O
6 en lugar de la fórmula empírica de la glucosa, que es CH
2O. Sin embargo, salvo en el caso de sustancias muy simples, las fórmulas químicas moleculares carecen de la información estructural necesaria y son ambiguas.
Para las moléculas simples, una fórmula condensada (o semiestructural) es un tipo de fórmula química que puede implicar plenamente una fórmula estructural correcta. Por ejemplo, el etanol puede representarse mediante la fórmula química condensada CH
3CH
2OH, y el éter dimetílico mediante la fórmula condensada CH
3OCH
3. Estas dos moléculas tienen las mismas fórmulas empírica y molecular (C
2H
6O), pero pueden diferenciarse por las fórmulas condensadas que se muestran, que son suficientes para representar la estructura completa de estos compuestos orgánicos simples.
Las fórmulas químicas condensadas también pueden utilizarse para representar compuestos iónicoss que no existen como moléculas discretas, pero que, sin embargo, contienen agrupaciones unidas covalentemente en su interior. Estos iones poliatómicoss son grupos de átomos que están unidos covalentemente y tienen una carga iónica global, como el sulfato. [SO
4]2-
. Cada ion poliatómico en un compuesto se escribe individualmente para ilustrar las agrupaciones separadas. Por ejemplo, el compuesto hexóxido de dicloro tiene una fórmula empírica ClO
3, y una fórmula molecular Cl
2O
6, pero en forma líquida o sólida, este compuesto se muestra más correctamente mediante una fórmula condensada iónica [ClO
2]+
[ClO
4]−
, que ilustra que este compuesto consta de iones [ClO
2]+
e iones [ClO
4]−
. En tales casos, la fórmula condensada sólo necesita ser lo suficientemente compleja como para mostrar al menos una de cada especie iónica.
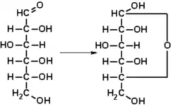
Las fórmulas químicas tal como se describen aquí son distintas de los nombres sistemáticos químicos mucho más complejos que se utilizan en varios sistemas de nomenclatura química. Por ejemplo, un nombre sistemático de la glucosa es (2R,3S,4R,5R)-2,3,4,5,6-pentahidroxihexanal. Este nombre, interpretado por las reglas que lo sustentan, especifica plenamente la fórmula estructural de la glucosa, pero el nombre no es una fórmula química tal y como se entiende habitualmente, y utiliza términos y palabras que no se emplean en las fórmulas químicas. Estos nombres, a diferencia de las fórmulas básicas, pueden representar fórmulas estructurales completas sin gráficos.
Tipos de fórmulas
Fórmula molecular

La fórmula molecular de un compuesto químico es una representación gráfica de la estructura molecular, que muestra cómo se ordenan o distribuyen espacialmente los átomos. Se muestran los enlaces químicos dentro de la molécula, ya sea explícitamente o implícitamente
Las fórmulas moleculares indican simplemente los números de cada tipo de átomo en una molécula de una sustancia molecular. Son iguales que las fórmulas empíricas para moléculas que sólo tienen un átomo de un tipo concreto, pero que por lo demás pueden tener números mayores. Un ejemplo de la diferencia es la fórmula empírica de la glucosa, que es CH
2O (proporción 1:2:1), mientras que su fórmula molecular es C
6H
12O
6 (número de átomos 6:12:6). En el caso del agua, ambas fórmulas son H
2O. Una fórmula molecular proporciona más información sobre una molécula que su fórmula empírica, pero es más difícil de establecer.
Una fórmula molecular muestra el número de elementos en una molécula, y determina si es un compuesto binario, compuesto ternario, compuesto cuaternario, o tiene aún más elementos.
Fórmula empírica
En química, la fórmula empírica de un semicompuesto alto en potasio y cloro química es una expresión simple del número relativo de cada tipo de átomo o proporción de los elementos en el compuesto. Las fórmulas empíricas son el estándar para compuestos iónicos, como CaCl
2, y para macromoléculas, como SiO
2. Una fórmula empírica no hace referencia al isómeroismo, estructura o número absoluto de átomos. El término empírica se refiere al proceso de análisis elemental, una técnica de química analítica utilizada para determinar la composición porcentual relativa de una sustancia química pura por elemento.
Por ejemplo, el hexano tiene una fórmula molecular de C
6H
14, y (para uno de sus isómeros, el n-hexano) una fórmula estructural CH
3CH
2CH
2CH
2CH
2CH
3, lo que implica que tiene una estructura de cadena de 6 átomos de carbono y 14 átomos de hidrógeno. Sin embargo, la fórmula empírica del hexano es C
3H
7. Del mismo modo, la fórmula empírica del peróxido de hidrógeno, H
2O
2, es simplemente HO, expresando la proporción 1:1 de los elementos componentes. El formaldehído y el ácido acético tienen la misma fórmula empírica, CH
2O. Ésta es la fórmula química real del formaldehído, pero el ácido acético tiene el doble de átomos.
Fórmula semidesarrollada
La fórmula semidesarrollada muestra todos los átomos que forman una molécula covalente, y los enlaces entre átomos de carbono (en compuestos orgánicos) o de otros tipos de átomos. No se indican los enlaces carbono-hidrógeno

Fórmula desarrollada
La fórmula desarrollada es el paso siguiente en complejidad de la semidesarrollada, indicando el enlace y ya la ubicación de cada átomo del compuesto dentro de sus respectivas moléculas, en un plano cartesiano, representando la totalidad de la estructura del compuesto
Fórmula estructural
La fórmula estructural es similar a las anteriores, pero señalando la geometría espacial de la molécula mediante la indicación de distancias, ángulos o el empleo de perspectivas en diagramas bi o tridimensionales.[4]

Fórmula de Lewis
Estructura de Lewis, también llamada diagrama de punto, modelo de Lewis o representación de Lewis, es una representación gráfica que muestra los enlaces entre los átomos de una molécula y los pares de electrones solitarios que puedan existir.
Diagramas
En un diagrama 2D, se aprecia la orientación de los enlaces usando símbolos especiales. Una línea continua representa un enlace en el plano; si el enlace está por detrás, se representa mediante una línea de puntos; si el enlace está por delante, se indica con un símbolo en forma de cuña triangular. A veces se emplean otro tipo de convenios o proyecciones para grupos de compuestos específicos (proyección de Newman, Reactivo de Tollens, etc).
Fórmula general
La fórmula general de un grupo de compuestos puede representarse de diferentes maneras:
Expresando el número de átomos de cada clase por ejemplo
En química inorgánica, una familia de compuestos se puede representar por una fórmula general cuyos subíndices (número de átomos de cada clase) son variables (x, y, z).
Incluyendo expresiones matemáticas en los subíndices
En química orgánica, es frecuente que los subíndices sean expresiones matemáticas que incluyen la variable n (número de átomos de carbono). Se llama serie homóloga al conjunto de compuestos que comparten la misma fórmula general. Por ejemplo, la fórmula general de los alcoholes es: CnH(2n + 1)OH (donde n ≥ 1)
| Serie homóloga | Fórmula general | Ejemplos |
|---|---|---|
| Alcanos | CnH2n+2 | CH4, C2H6, C3H8, C4H10 |
| Alquenos monoinsaturados | CnH2n | C2H4, C3H6, C4H8 |
| Alquinos monoinsaturados | CnH2n-2 | C2H2, C3H4, C4H6 |
| Cicloalcanos | CnH2n | C4H8, C6H12 |
| Alcoholes | CnH(2n + 1)OH | CH3OH, C2H5OH |
Incluyendo radicales y grupo funcional
En la expresión de la fórmula general, en química orgánica, suele aparecer la estructura de los compuestos de una serie homóloga, incluyendo la parte del sustituyente (que se representa por R, R', etc) y el grupo funcional. Ejemplo: La fórmula general de los alcoholes primarios es R-OH.
| Serie homóloga | Fórmula general | Ejemplos |
|---|---|---|
| Alcoholes | R-OH | CH3OH, C2H5OH |
| Éteres | R-O-R | CH3-O-CH3 |
| Aldehídos | R-CHO | CH3-CHO, CH3-CH2-CHO |
| Cetonas | R-CO-R | CH3-CO-CH3 |
| Ácidos carboxílicos | R-COO-H | CH3-COOH |
| Ésteres | R-COO-R | CH3-CH2-COO-CH3 |
| Aminas | R-NH2 | CH3-CH2-NH2 |
| Amidas | R-CONH2 | CH3-CH2-CONH2 |
| Nitrilos | R-CN | CH3-CH2-CN |
Sistema de Hill
El sistema de Hill (o notación de Hill) es un sistema de escritura de fórmulas químicas empíricas, fórmulas químicas moleculares y componentes de una fórmula condensada tal que el número de átomos de carbono en un molécula se indica primero, el número de átomos de hidrógeno a continuación, y luego el número de todos los demás elementos químicos posteriormente, en orden alfabético de los símbolos químicos. Cuando la fórmula no contiene carbono, todos los elementos, incluido el hidrógeno, se enumeran alfabéticamente.
Clasificando las fórmulas de acuerdo con el número de átomos de cada elemento presente en la fórmula de acuerdo con estas reglas, y las diferencias en elementos o números anteriores se tratan como más significativas que las diferencias en cualquier elemento o número posterior, como clasificar cadenas de texto en orden lexicográfico: es posible cotejar fórmulas químicas en lo que se conoce como orden del sistema de Hill.
El sistema de Hill fue publicado por primera vez por Edwin A. Hill de la Oficina de Marcas y Patentes de los Estados Unidos en 1900.[5] Es el sistema más utilizado en bases de datos químicas e índices impresos para clasificar listas de compuestos.[6]
Una lista de fórmulas en el orden del sistema de Hill está ordenada alfabéticamente, como se muestra arriba, con elementos de una sola letra que van antes de los símbolos de dos letras cuando los símbolos comienzan con la misma letra (por lo que "B" viene antes de "Be", que viene antes de "Br ").[6]
Las siguientes fórmulas de ejemplo se escriben utilizando el sistema de Hill y se enumeran en orden de Hill:
- BrI
- BrClH2Si
- CCl4
- CH3I
- C2H5Br
- H2O4S
Véase también
Wikcionario tiene definiciones y otra información sobre fórmula química.- Estequiometria
- Símbolo químico
- Grupo funcional
- Molécula
- Nomenclatura química
- Reacción química
Referencias
- Familias de compuestos. Química 1. Fundamentos. Lacreu, Aramendía, Aldabe. Ediciones Colihue SRL. ISBN 9505813430. Pág. 62
- Ralph S. Petrucci, William S. Harwood y F. Geoffrey Herring, General Chemistry, 8th Edition (Prentice-Hall 2002), cap 3.
- Química orgánica. Stephen J Weininger, Frank R. Stermitz. Editorial Reverté, 1988. ISBN 842917527X Pág. 1289
- Química otores, 2005. ISBN 9706863540 Pág.56 y ss.
- Edwin A. Hill (1900). «On a system of indexing chemical literature; Adopted by the Classification Division of the U.S. Patent Office». J. Am. Chem. Soc. 22 (8): 478-494. doi:10.1021/ja02046a005. hdl:2027/uiug.30112063986233.
- Wiggins, Gary. (1991). Chemical Information Sources. New York: McGraw Hill. p. 120.
Enlaces externos
- Formulación de química inorgánica. Ciencia y Educación en la Red. Tino Puente.