Flustramina
Las flustraminas son alcaloides pirroloindólicos aislados de Flustra foliacea (Bryozoa).

Flustra foliacea
Síntesis
Se han reportado diversos métodos de síntesis para las frustramidas.
Fuchs y colaboradores sintetizaron la flustramina A por medio del acoplamiento de una 3-bromoindolin-2-ona con prenilestannano.[1]

Austin y colaboradores propusieron la síntesis total de la flustramina B a partir de N-{2-[6-bromo-1-(3-metilbut-2-en-1-il)-1H-indol-3-il]etil}-2,2-dimetilpropanamida y acroleína.[2]

Propiedades
A continuación se muestran las propiedades de las flustraminas:
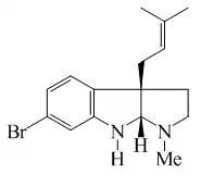
| Nombre | Estructura | Fórmula molecular | CAS | Masa molecular (g/mol) | Estado | Otras propiedades |
|---|---|---|---|---|---|---|
| Flustramina A | ![]() |
C21H29BrN2 | 71239-64-0 | 389.377 | Líquido | Relajante muscular. [a]20D = -76.9 (c, 6.6 en EtOH). Soluble en metanol, benceno y cloroformo. UV: [ácido]λmax219 (e21000) ;253 (e7700) ;305 (e3500) ( EtOH/HCl) [neutral]λmax218 (e20000) ;262 (e9200) ;317 (e3500) ( EtOH)[3] |
| Flustramina B | ![]() |
C21H29BrN2 | 71239-65-1 | 389.377 | Relajante muscular.[4] Soluble en metanol, benceno y cloroformo. UV: [ácido]λmax219 (e21000) ;253 (e7700) ;305 (e3500) ( EtOH/HCl) [neutral]?max218 (e20000) ;262 (e9200) ;317 (e3500) (EtOH) | |
| Flustramina C | ![]() |
C16H19BrN2 | 78127-86-3 | 319.243 | Líquido oleoso | UV: [ácido]λmax210 (e13000) ;230 (e23000) ;280 (e4600) ( EtOH/HCl) [neutro]λmax210 (e10000) ;232 (e27000) ;290 (e9400) ;307 (e4300) ( EtOH)[5] |
| Flustramina D | ![]() |
C21H29BrN2 | 104387-12-4 | 389.377 | Líquido oleoso | [a]25D = -86.5 (c, 1.03 en diclorometano); UV:[neutro]λmax231 (e7100) ;292 (e3100) (MeOH)[6] |
| Flustramina E[7] | ![]() |
C16H21BrN2 | 158642-05-8 | 321.259 | [a]20D = -1136 (c, 0.0088 en EtOH); UV: [neutro]λmax210;250;308 (MeOH) | |
| Flustramina F | ![]() |
C18H23BrN2O | 1187956-19-9 | 363.297 | Líquido oleoso | [a]D = -22 (c, 0.2 en cloroformo) UV: [neutro]λmax219 (log e4.41) ;252 (log e3.98) ;287 (log e3.39) ( MeOH)[8] |
| Flustramina G | ![]() |
C16H20Br2N2 | 1187956-20-2 | 400.155 | Líquido aceitoso | [a]D = -80 (c, 0.21 en cloroformo); UV: [neutro]λmax212;247;310 (MeOH) |
| Flustramina H[9] | ![]() |
C21H29BrN2O | 1187956-21-3 | 405.377 | Líquido oleoso | [a]D = -58 (c, 0.3 en cloroformo); UV: [neutro]λmax217 (log e4.77) ;246 (log e4.2) ;295 (log e3.84) (MeOH) |
| Flustramina I | ![]() |
C16H21BrN2O | 1187956-23-5 | 337.259 | Líquido oleoso | [a]D = -87 (c, 0.18 en cloroformo); UV: [neutro]λmax217 (log e4.79) ;297 (log e3.65) (MeOH) |
| Flustramina J | ![]() |
C21H28Br2N2O | 1187956-24-6 | 484.273 | Líquido oleoso | [a]D = -40 ( c, 0.15 en cloroformo); UV: [neutro]λmax217;293 (MeOH) |
| Flustramina K | ![]() |
C16H20Br2N2O | 1187956-25-7 | 416.155 | Líquido oleoso | [a]D = -29 (c, 0.05 en cloroformo) |
| Flustramina L | ![]() |
C21H29BrN2O | 1187956-26-8 | 405.377 | Líquido oleoso | [a]D = -53 (c, 0.3 en cloroformo); UV: [neutro]λmax218 (log e4.82) ;302 (log e3.83) (MeOH)[9] |
| Flustramina M | ![]() |
C21H27BrN2O2 | 1187956-27-9 | 419.361 | Líquido oleoso | [a]D = -159 (c, 0.08 en cloroformo); UV: [neutro]λmax218 (log e4.5) ;299 (log e4.06) ;318 (log e3.85) (MeOH) |
| Flustramina N | ![]() |
C21H29BrN2O | 1187956-29-1 | 405.377 | Líquido oleoso | [a]D = -61 (c, 0.28 en cloroformo); UV: [neutro]λmax217 (log e4.73) ;299 (log e3.79) ( MeOH) |
| Flustramina O | ![]() |
C21H27BrN2O2 | 1187956-31-5 | 654.530 | Líquido oleoso | [a]D = -211 (c, 0.63 en cloroformo); UV: [neutro]λmax215 (log e4.82) ;259 (log e4.32) ;312 (log e3.89) ( MeOH) |
| Flustramina P | ![]() |
C38H50Br2N4O | 1187956-33-7 | 738.647 | Líquido oleoso | [a]D = -5 (c, 0.44 en cloroformo); UV: [neutro]λmax213 (log e5.06) ;259 (log e4.53) ;305 (log e4.07) ( MeOH) |
Referencias
- Fuchs, J.R. et al., Org. Lett., 2005, 7, 677- 680
- Austin J. F. et al. PNAS 2004;101:5482-5487
- Morales-Rios, M.S. et al., Magn. Reson. Chem., 2002, 40, 677- 682
- Carlé, J.S. et al., JOC, 1980, 45, 1586- 1589
- Carlé, J.S. et al., JOC, 1981, 46, 3440- 3443
- Laycock, M.V. et al., Can. J. Chem., 1986, 64, 1312- 1316
- Carlé, J.S. et al., JACS, 1979, 101, 4012- 4013
- Rochfort, S.J. et al., J. Nat. Prod., 2009, 72, 1773- 1781
- Rochfort, S.J. et al., J. Nat. Prod., 2009, 72, 1773- 1781
Este artículo ha sido escrito por Wikipedia. El texto está disponible bajo la licencia Creative Commons - Atribución - CompartirIgual. Pueden aplicarse cláusulas adicionales a los archivos multimedia.














