Fosfito de trimetilo
El fosfito de trimetilo o trimetilfosfito es un compuesto organofosforado con la fórmula P(OCH3)3, a menudo abreviado como P(OMe)3. Es un líquido incoloro con un olor muy picante. Se utiliza como ligando en química organometálica y como reactivo en síntesis orgánica. La molécula presenta un centro piramidal de fósforo (III) unido a tres grupos metóxido.
| Fosfito de trimetilo | ||
|---|---|---|
![]() | ||
![]() | ||
| Nombre IUPAC | ||
| Fosfito de trimetilo[1] | ||
| General | ||
| Otros nombres | Trimetil fosfito; Trimetoxifosfina. | |
| Fórmula semidesarrollada | P(OCH3)3 | |
| Fórmula molecular | C3H9O3P | |
| Identificadores | ||
| Número CAS | 121-45-9[2] | |
| ChEMBL | CHEMBL3186364 | |
| ChemSpider | 8159 | |
| PubChem | 8472 | |
| UNII | 26Q0321ZDG | |
| Propiedades físicas | ||
| Apariencia | incoloro | |
| Densidad | 1052 kg/m³; 1,052 g/cm³ | |
| Masa molar | 124 076 g/mol | |
| Punto de fusión | −78 °C (195 K) | |
| Punto de ebullición | 111 °C (384 K) | |
| Propiedades químicas | ||
| Solubilidad en agua | Reacciona | |
| Peligrosidad | ||
| SGA |
![]() | |
| Punto de inflamabilidad | 301 K (28 °C) | |
| Valores en el SI y en condiciones estándar (25 ℃ y 1 atm), salvo que se indique lo contrario. | ||
Síntesis y reactividad
El fosfito de trimetilo se prepara a partir de tricloruro de fósforo en presencia de una base, típicamente una amina terciaria::
En ausencia de una base, produce dimetilfosfito. El trimetilfosfito es susceptible a la oxidación a fosfato de trimetilo.
Al reaccionar con haluros de alquilo, los ésteres de ácido fosfónico correspondientes se pueden obtener en una reacción de Arbuzov:[3]

Por ejemplo, reacciona con una cantidad catalítica de yoduro de metilo en la reacción de Arbuzov para dar metilfosfonato de dimetilo:
Este tipo de reacción, iniciada térmica o catalíticamente, puede resultar en la isomerización a metilfosfonato de dimetilo. Esta reacción es altamente exotérmica con un calor de reacción de −180,7 kJ·mol−1 o −1456 kJ·kg−1, que puede ser explosiva de forma descontrolada.[4][5][6] Durante un incidente el 1 de diciembre de 2014 en Schill+Seilacher Chemie GmbH en Pirna, se filtraron 5 toneladas de fosfito de trimetilo, lo que resultó en una muerte y cuatro heridos, así como daños materiales de varios millones de euros.[7]

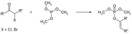
Los fosfatos de vinilo orgánicos se forman en una reacción de Perkow con α-halocetonas:[3]

Como ligando, el fosfito de trimetilo tiene un ángulo cónico más pequeño y mejores propiedades de aceptación con respecto a la trimetilfosfina. Un derivado representativo es el complejo incoloro tetraédrico Ni(P(OMe)3)4 (p.f. = 108 °C).[8] El ligando tridentado llamado ligando de Kläui deriva del trimetilfosfito. La formación de este ligando ilustra la susceptibilidad del trimetilfosfito (y sus complejos metálicos) a la reacción de Arbuzov.
El fosfito de trimetilo también se usa como un reactivo de desulfuración suave en síntesis orgánica, por ejemplo en la preparación de derivados de tetratiafulvaleno.[9]
Referencias
- Nomenclature of Organic Chemistry : IUPAC Recommendations and Preferred Names 2013 (Blue Book). Cambridge: The Royal Society of Chemistry. 2014. p. 931. ISBN 978-0-85404-182-4. doi:10.1039/9781849733069-FP001.
- Número CAS
- e-EROS Encyclopedia of Reagents for Organic Synthesis, 1999–2013, John Wiley and Sons, Inc., Eintrag für Trimethyl phosphite, abgerufen am 8. August 2013.
- Regenass, W.: Thermoanalytische Methoden in der chemischen Verfahrensentwicklung in Thermochim. Acta 20 (1977) 65–79, doi 10.1016/0040-6031(77)85041-7.
- Regenass, W.: Calorimetric Monitoring of Industrial Chemical Processes in Thermochim. Acta 95 (1985) 351–368, doi 10.1016/0040-6031(85)85296-5.
- IChemE Symposium series no. 102: Pressure Hazards - Hazards from Pressure: Exothermic Reactions, Unstable Substances, Pressure Relief and Accidental Discharge, 1987, S102-21, Bourne, J.R.; Brogli, F.; Hoch, F.; Regenass, W.: Heat transfer from exothermically reacting fluid in vertical unstirred vessels.
- Umweltbundesamt - Zentrale Melde- und Auswertestelle für Störfälle und Störungen in verfahrenstechnischen Anlagen (ZEMA), Jahresbericht 2012–2014, Seiten 223-225, pdf
- Ittel, Steven D.; Ittel, S. D.; Cushing, M. A. (1990). «Complexes of Nickel(0)». Inorganic Syntheses. Inorganic Syntheses 28: 98-104. ISBN 978-0-471-52619-3. doi:10.1002/9780470132593.ch25.
- Larsen, Jan; Lenoir, Christine (1995). 2,2'-Bi-5,6-Dihydro-1,3-Dithiolo[4,5-b][1,4]dithiinylidene (BEDT-TTF) 72. p. 265. doi:10.15227/orgsyn.072.0265..





