Fosfonolípido
Los fosfonolípidos son derivados fosfonatos de los lípidos, concretamente son los análogos estructurales de los fosfolípidos, en los que en vez de un grupo fosfato, poseen un grupo fosfonato. Son lípidos que contienen aminofosfonatos. Hay dos clases de estos compuestos: glicerofosfonolípidos y esfingofosfonolípidos, que se encontraron por primera vez en los microbios unicelulares Tetrahymena pyriformis, que se aislaron del estómago de las ovejas.[1] Luego se descubrió que esta clase de lípidos se produce en los protozoos[2] y se distribuye ampliamente entre muchas especies de animales marinos, principalmente anémona, moluscos, ostras y esponjas.[3] También se encontraron en estrellas de mar. Sin embargo, se sabe que las estrellas de mar se alimentan de gasterópodos y moluscos bivalvos, que contienen hasta un 20% de fosfonolípidos en los fosfolípidos totales (PL).[4] También se encontraron fosfonolípidos en peces,[5] ciertos mamíferos,[6][7][8] varias cepas de bacterias, yema de huevo,[9] insectos[10] y otras fuentes.[11]
Los fosfonolípidos de origen vegetal están mucho menos estudiados. En 1983, Moschidis los observó por primera vez en plantas, en lípidos de la semilla del albaricoque.[12] Hasta ahora, el contenido de fosfonolípidos de la gran cantidad de plantas existentes se ha estudiado solo esporádicamente. Los encontramos en lípidos de semillas de algodón (Gossypium hirsutum, Malvaceae), caléndula (Calendula officinalis, Asteraceae), etc.
Los fosfonolípidos que se encuentran en la naturaleza se pueden dividir en dos grupos:[11]

- Glicerofosfonolípidos: fosfono-análogos de los glicerofosfolípidos.
- Esfingofosfonolípidos: fosfono-análogos de los esfingolípidos.
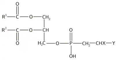
Fosfono-análogos de fosfoglicéridos
Los principales diacil-sn-gliceril-3-fosfonatos son:
- Fosfonofosfatidiletanolaminas: X=H; Y=NH2:
- N-Metilfosfonofosfatidiletanolaminas: X=H; Y=NHCH3
- N,N-Dimetilfosfonofosfatidiletanolaminas: X=H; Y=N(CH3)2
- Fosfonofosfatidilcolinas: X=H; Y=N+(CH3)3
- Fosfonofosfatidilglicerinas: X=OH; Y=CH2OH
- Fosfonofosfatidilserinas: X=NH2; Y=COOH
En el caso de los derivados de etanolamina, la estructura unida al glicerol, se encuentra el primer fosfonato aislado de la naturaleza: el Ácido 2-aminoetilfosfónico.
Fosfono-análogos de esfingolípidos
- Aminoetilfosfonatos de ceramida (CAEP, de sus siglas en inglés): Destaca el 2-aminoetilfosfonato de ceramida .[13]
Función de los fosfonolípidos
Los fosfonolípidos son especialmente abundantes en protozoos ciliados, coeleneratos, gasterópodos y bivalvos. También se han observado en plantas, bacterias y varios vertebrados, incluidos los humanos; sin embargo, en los últimos casos, es casi seguro que se asimilan a partir de fuentes dietéticas, en lugar de sintetizarlos de novo. Sin embargo, esta observación indica que los fosfonatos también juegan un papel en el metabolismo de estos organismos. Los fosfonolípidos contienen una variedad de cadenas laterales de ácidos grasos y diferentes grupos de cabeza de fosfonato, incluidos los análogos de colina con uno, dos o tres grupos metilo N-ligados como el AEP. También se han identificado fosfonolípidos con 2-hidroxietilfosfonato (HEP) o 1-hidroxi-2-aminoetilfosfonato. Se detectó ácido 2-amino-3-fosfonopropiónico, conocido como fosfonoalanina (P-Ala o PALA), en extractos de células hidrolizadas con ácido de Tetrahymena, pero no está claro si se deriva de un lípido o de alguna otra macromolécula.[14]
La función fisiológica de los fosfonolípidos aún se desconoce, y hasta ahora no se ha probado el papel protector sugerido contra los depredadores que resulta de su estabilidad frente a la hidrólisis por las lipasas y fosfatasas. Además, la distribución y abundancia de fosfonolípidos entre organismos varían según la especie, el tejido o la ubicación celular.
Referencias
- HORIGUCHI M, KANDATSU M. (1959). «Isolation of 2-aminoethane phosphonic acid from rumen protozoa.». Nature 184: 901–902. doi:10.1038/184901b0.
- G. A. Thompson, Jr. (1969). «The metabolism of 2-aminoethylphosphonate lipids in Tetrahymena pyriformis». Biochim. Biophys. Acta 176 (2): 330-338. doi:10.1016/0005-2760(69)90191-X.
- T. Matsubara, M. Morita, A. Hayashi (1990). «Determination of the presence of ceramide aminoethylphosphonate and ceramide N-methylaminoethylphosphonate in marine animals by fast atom bombardment mass spectrometry». Biochim. Biophys. Acta 1042 (3): 280-286. doi:10.1016/0005-2760(90)90154-P.
- D. M. Kariotoglon and S. K. Mastronikolis, (1998) Z. Naturforsch., C: Biosci., 53, 888
- Hori T, Itasaka O. (1978). «On shellfish lipids». Seikagaku 50 (5): 331-46. PMID 353204.
- Moschidis, M. C (1983). «Isolation of goat spleen phosphonolipids by thin-layer chromatography: their identification and silicic acid column chromatographic separation». Journal of chromatography 268: 485-492. doi:10.1016/S0021-9673(01)95447-0.
- Moschidis, M. C (2014). «Thin Layer Chromatographic and IR Spectral Evidence for the Presence of Phosphonolipids in Human Sperm». Zeitschrift für Naturforschung C 41 (11-12): 1121-1123. doi:10.1515/znc-1986-11-1229.
- K. S. Bjerve (1972). «Lecithin biosynthesis in the rat studied with phosphonate analogues of phosphorylcholine». Biochim. Biophys. Acta 270 (3): 348-363. doi:10.1016/0005-2760(72)90199-3.
- M. C. Moschidis, C. A. Demopoulos, L. G. Kritikou (1984). «Isolation of hens' egg phosphonolipids by thin-layer chromatography, their identification and silicic acid column chromatographic separation». J. Chromatogr 292 (2): 473-478. doi:10.1016/S0021-9673(01)83631-1.
- M. C. Moschidis (1987). «Thin Layer Chromatographic and Infra Red Spectral Evidence for the Presence of Phosphonolipids in Cicada oni». Z. Naturforsch., C 42 (9-10). doi:10.1515/znc-1987-9-1002.
- Kh. S. Mukhamedova y A. I. Glushenkova (2000). «NATURAL PHOSPHONOLIPIDS». Chemistry of Natural Compounds 36 (4): 329–341. doi:10.1023/A:1002804409503.
- M. C. Moschidis (1984). «Thin-layer chromatographic and infared spectral evidence for the presence of phosphonolipids in ground apricot kernel». J. Chromatogr 294: 519-524. doi:10.1016/S0021-9673(01)96177-1.
- D. M. Kariotoglou; S. K. Mastronicolis (1998). «Phosphonolipids in the Mussel Mytilus galloprovincialis». Z. Naturforsch. 53c: 888-896.
- W. W. Metcalf and W. A. van der Donk (2009). «Biosynthesis of Phosphonic and Phosphinic Acid Natural Products». Annu. Rev. Biochem. 78: 65–94. doi:10.1146/annurev.biochem.78.091707.100215.