Hidroperóxido
Los hidroperóxidos o peroxoles son compuestos que contienen el grupo funcional hidroperóxido (ROOH). Si la R es orgánica, los compuestos se denominan hidroperóxidos orgánicos. Dichos compuestos son un subconjunto de peróxidos orgánicos, que tienen la fórmula ROOR. Los hidroperóxidos orgánicos son compuestos muy inestables, reaccionado, a veces de forma explosiva, al entrar en contacto con otros compuestos orgánicos con enlaces químicos insaturados.[1]

Propiedades
La longitud del enlace O-O en los peróxidos es de aproximadamente 1,45 Å, y los ángulos R-O-O (R = H, C) son de aproximadamente 110 ° (como en el agua). Característicamente, los ángulos diédricos C-O-O-H son de aproximadamente 120 °. El enlace O−O es relativamente débil, con una energía de disociación de enlace de 45–50 kcal/mol (190–210 kJ/mol), menos de la mitad de las fuerzas de los enlaces C−C, C−H y C−O.[2][3]
Uso y reactividad
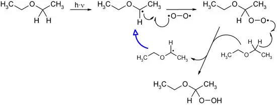
Los hidroperóxidos surgen principalmente durante los procesos de autooxidación a través de la reacción de compuestos orgánicos con oxígeno atmosférico o mediante la reacción de compuestos organometálicos (por ejemplo, compuestos de Grignard) con oxígeno. La siguiente imagen muestra el mecanismo inducido por la luz para la formación de hidroperóxidos usando el ejemplo del hidroperóxido de dietiléter:[4]

Los hidroperóxidos se pueden reducir a alcoholes con hidruro de litio y aluminio, como se describe en la siguiente ecuación:
Esta reacción es la base para los métodos de análisis de peróxidos orgánicos.[5] Otra forma de evaluar el contenido de perácidos y peróxidos es la valoración volumétrica con alcóxidos como el etóxido de sodio.[6] Los ésteres de fosfito y las fosfinas terciarias también se ven afectadas por la reducción de los peróxidos:
Los hidroperóxidos son intermedios en la producción de muchos compuestos orgánicos en la industria. Por ejemplo, la oxidación catalizada por cobalto del ciclohexano a ciclohexanona:[7]
La acetona y el fenol se producen mediante el llamado proceso de cumeno, a partir de benceno y propileno, que se realiza a través del intermedio de reacción hidroperóxido de cumeno.
Muchos epóxidos se preparan utilizando hidroperóxidos como reactivos, como el proceso Halcón para la producción del óxido de propileno. La epoxidación de Sharpless es una reacción relacionada realizada a escala de laboratorio. El hidroperóxido de terc-butilo (TBHP) es un oxidante orgánico soluble que se emplea en estas operaciones:[8]

Los aceites de secado, como se encuentran en muchas pinturas y barnices, funcionan a través de la formación de hidroperóxidos.
Formación
Los hidroperóxidos juegan papeles importantes en biología. Se conocen cientos de hidroperóxidos, derivados de ácidos grasos, esteroides y terpenos. La biosíntesis de estas especies se efectúa ampliamente por enzimas.


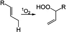
Los compuestos con enlaces C-H alílicos y bencílicos son especialmente susceptibles a la oxigenación.[10] Dicha reactividad se explota industrialmente a gran escala para la producción de fenol mediante el proceso de cumeno o proceso Hock para sus intermedios de cumeno e hidroperóxido de cumeno.[11] Dichas reacciones se basan en iniciadores radicales que reaccionan con el oxígeno para formar un intermedio que extrae un átomo de hidrógeno de un enlace C-H débil. El radical resultante se une al O2, para dar hidroperoxilo (ROO.), Que luego continúa el ciclo de abstracción de átomos de H.[12]
La reacción de autooxidación se observa con éteres comunes, como el éter etílico, éter diisopropílico, tetrahidrofurano (THF) o 1,4-dioxano. Un producto ilustrativo es el peróxido de dietiléter. Dichos compuestos pueden provocar una explosión grave. El disolvente tetrahidrofurano ilustra esta tendencia a formar hidroperóxido altamente explosivo durante el almacenamiento en contacto con el aire.[12]
Para minimizar este problema, las muestras comerciales de THF a menudo se inhiben con butilhidroxitolueno (BHT). Se evita la destilación de THF a sequedad porque los peróxidos explosivos se concentran en el residuo.

Referencias
- Klenk, Herbert; Götz, Peter H.; Siegmeier, Rainer; Mayr, Wilfried. "Peroxy Compounds, Organic". Ullmann's Encyclopedia of Industrial Chemistry. Weinheim: Wiley-VCH.
- Bach, Robert D.; Ayala, Philippe Y.; Schlegel, H. B. (1996). «A Reassessment of the Bond Dissociation Energies of Peroxides. An ab Initio Study». J. Am. Chem. Soc. 118 (50): 12758-12765. doi:10.1021/ja961838i.
- Otto Exner (1983). «Stereochemical and conformational aspects of peroxy compounds». En Saul Patai, ed. PATAI'S Chemistry of Functional Groups. Wiley. pp. 85-96. ISBN 9780470771730. doi:10.1002/9780470771730.ch2.
- Albert Gossauer: Struktur und Reaktivität der Biomoleküle, Verlag Helvetica Chimica Acta, Zürich, 2006, S. 212–213, ISBN 978-3-906390-29-1.
- Higuchi, T.; Zuck, Donald Anton (1951). «Behaviors of Several Compounds as Indicators in Lithium Aluminum Hydride Titration of Functional Groups». Journal of the American Chemical Society 73 (6): 2676. doi:10.1021/ja01150a073.
- Martin, A. J. (1957). «Potentiometric titration of hydroperoxide and peracid in Anhydrous Ethylenediamine». Analytical Chemistry 29: 79-81. doi:10.1021/ac60121a022.
- Michael T. Musser (2005). "Cyclohexanol and Cyclohexanone". Ullmann's Encyclopedia of Industrial Chemistry. Weinheim: Wiley-VCH. doi:10.1002/14356007.a08_217
- Hill, J. G.; Sharpless, K. B.; Exon, C. M.; Regenye, R. (1985). «Enantioselective Epoxidation Of Allylic Alcohols: (2s,3s)-3-propyloxiranemethanol». Org. Synth. 63: 66. doi:10.15227/orgsyn.063.0066.
- Matsui K (2006). «Green leaf volatiles: hydroperoxide lyase pathway of oxylipin metabolism». Current Opinion in Plant Biology 9 (3): 274-80. PMID 16595187. doi:10.1016/j.pbi.2006.03.002.
- Knight, H. B.; Swern, Daniel (1954). «Tetralin Hydroperoxide». Org. Synth. 34: 90. doi:10.15227/orgsyn.034.0090..
- Brückner, R. Reaktionsmechanismen: organische Reaktionen, Stereochemie, moderne Synthesemethoden, pp. 41–42, Spektrum Akademischer Verlag, Munich, 2004, ISBN 3-8274-1579-9
- Heinz G. O. Becker Organikum, Wiley-VCH, 2001, ISBN 3-527-29985-8 pp. 206–207
