Hidroxilación

La hidroxilación es una reacción química en la que se introduce un grupo hidroxilo (OH) en un compuesto reemplazando un átomo de hidrógeno, oxidando al compuesto. En bioquímica, las reacciones de hidroxilación son facilitadas por enzimas llamadas hidroxilasas, tal como la tirosina hidroxilasa.

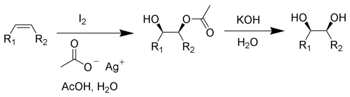
Ejemplo de una reacción de hidroxilación en la que se añaden dos grupos hidroxilos al reactivo de la izquierda: .

En el hígado, por ejemplo, el grupo de enzimas citocromo P450 catalizan la hidroxilación de una gran variedad de compuestos, incluyendo medicamentos.[1] En la hidroxilación de las proteínas, el principal receptor del grupo hidroxilo suele ser la prolina, formándose hidroxiprolina, uno de los principales componentes del colágeno.[2]

Véase también

Referencias

  1. Thomas M. Devlin. Bioquímica (en español). Publicado por Reverté, 2004. ISBN 8429172084
  2. Nelson, D. L. y Cox, M. M. (2005) Lehninger's Principles of Biochemistry, 4.ª ed, W. H. Freeman and Company, New York.
Este artículo ha sido escrito por Wikipedia. El texto está disponible bajo la licencia Creative Commons - Atribución - CompartirIgual. Pueden aplicarse cláusulas adicionales a los archivos multimedia.