Himbacina
La himbacina es un pseudoalcaloide policétido piperidínico aislado de la corteza de Himantandra baccata e Himantandra belgraveana (sin. Galbulimima) (Himantandraceae).[2] [α]14D = +63 (c, 1.04 en cloroformo). Es un antagonista del receptor muscarínico M4; por esta condición se le utiliza como herramienta para la diferenciación entre sitios de los receptores muscarínicos.[3] También actúa como agente antiespasmódico. Su pKa es de 9.3 en una solución al 50% de etanol.
| Himbacina | ||
|---|---|---|
![]() | ||
| Nombre IUPAC | ||
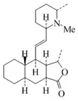
| 4-[2-(1,6-Dimetil-2-piperidinil)etenil]decahidro-3-metilnafto[2,3-c]furan-1(3H)-ona | ||
| General | ||
| Fórmula estructural |
![]() | |
| Fórmula molecular | C22H35NO2 | |
| Identificadores | ||
| Número CAS | 6879-74-9[1] | |
| ChEBI | 5720 | |
| ChEMBL | CHEMBL277642 | |
| ChemSpider | 4940913 | |
| PubChem | 6436265 | |
| UNII | M17C7V122D | |
| KEGG | C10598 | |
| Propiedades físicas | ||
| Apariencia | Agujas (Heptano) | |
| Masa molar | 345,524 g/mol | |
| Punto de fusión | 132 °C (405 K) | |
| Valores en el SI y en condiciones estándar (25 ℃ y 1 atm), salvo que se indique lo contrario. | ||
Derivados
| Nombre | Estructura | Fórmula molecular | CAS | Masa molecular (g/mol) | Estado | Fuente natural | Otras propiedades |
|---|---|---|---|---|---|---|---|
| Himbelina | ![]() |
C21H33NO2 | 518-99-0 | 331.497 | Sólido en forma de agujas (éter de petróleo). PF = 100 °C | Aislado de Himantandra belgraveana (Himantandraceae)[4] | [α]18D = +19 (c, 2.4 en cloroformo) |
| Himgrina | ![]() |
C22H33NO3 | 1202236-02-9 | 359.508 | Sólido amorfo. | Aislado de la corteza de Himantandra belgraveana (Himantandraceae)[5] | |
| Himgravina | ![]() |
C22H33NO2 | 6879-75-0 | 343.508 | Sólido en forma de agujas (éter de petróleo) PF = 120 °C | Aislado de la corteza de Himantandra baccata e Himantandra belgraveana (Himantandraceae)[6] | [α]18D = +47 (c, 1.5 en cloroformo); pKa =9.3 (50% EtOH) |
| Himandravina | ![]() |
C21H33NO2 | 6879-73-8 | 331.497 | Sólido en forma de agujas (hexano) PF = 119 °C | Aislado de Himantandra belgraveana[7] | [α]18D = +23 (c, 1.89 en cloroformo) |
Referencias
- Número CAS
- Brown, R.F.C. et al., Aust. J. Chem., 1956, 9, 283- 287
- Takadoi, M. et al., Bioorg. Med. Chem., 2003, 11, 1169- 1186
- Chackalamannil, S. et al., JOC, 1999, 64, 1932- 1940
- Mander, L.N. et al., Tet. Lett., 2009, 50, 7089- 7092
- Abraham, R.J. et al., Aust. J. Chem., 1961, 14, 64- 68
- Pinhey, J.T. et al., Aust. J. Chem., 1961, 14, 106- 134
Este artículo ha sido escrito por Wikipedia. El texto está disponible bajo la licencia Creative Commons - Atribución - CompartirIgual. Pueden aplicarse cláusulas adicionales a los archivos multimedia.




