Saga de Hrafnkell
La saga de Hrafnkell (nórdico antiguo, Hrafnkells saga –AFI:[ˈr̥apncɛls ˌsaːɣa]– e islandés moderno: Hrafnkels saga Freysgoða) es una saga islandesa cuya acción se desarrolla en el siglo X y que relata el enfrentamiento entre los jefes de los ættir (clanes familiares) en el este de la isla.

El héroe epónimo de la obra, Hrafnkell freysgoði, goza de una sólida reputación como duelista y, en un momento dado, hace el juramento de adorar exclusivamente al dios Frey. Sin embargo, tras una serie de derrotas y humillaciones, como la destrucción del templo que había construido para su dios, pierde la fe y se vuelve ateo.[1] Su personalidad evoluciona, pues el héroe aprende a interactuar de manera pacífica con su prójimo. Al ir ganando progresivamente la confianza de nuevos compañeros, logra vengarse de sus enemigos, y finaliza sus días como un jefe poderoso y respetado. La moraleja del relato es que la verdadera fuente del poder no reside en la fe divina sino en la lealtad de los propios subordinados. La saga de Hrafnkell, leída y apreciada hasta hoy, seduce por su estructura lógica, su verosimilitud y por la relevancia de sus personajes. Por todas estas razones, la obra ocupa un lugar central en el debate sobre el origen de las sagas islandesas.
Resumen

La historia comienza con el viaje del noruego Hallfreðr, que participa alrededor del año 900 en todas las primeras expediciones de colonización de Islandia, y se instala al este de la isla en compañía de su hijo, Hrafnkell, un joven de valentía prometedora. Hrafnkell tiene ambición y, con el permiso de su padre, pronto decide fundar su propio asentamiento. Para ello escoge un valle deshabitado donde instala una granja a la que denomina Aðalból («Hogar Noble»). Este valle, debidamente identificado, será más tarde rebautizado como Hrafnkelsdalr («Valle de Hrafnkell»).
Allí Hrafnkell hace erigir un gran templo, donde efectúa fastuosos sacrificios. Las mejores cabezas de su ganado son ofrecidas a Frey, el dios que venera por sobre todos los otros. En un momento dado, coloca bajo la protección de esta divinidad a su caballo preferido, Freyfaxi, y jura que matará a cualquiera que lo monte sin su permiso. Estas manifestaciones de fervor religioso le hacen ganar el apelativo de Freysgoði («goði de Frey»).
Hrafnkell alimenta una gran sed de poder y se impone como jefe de clan al tiranizar a los habitantes de los valles circundantes. Siempre está preparado a batirse a un holmgang (duelo), y nunca paga el precio de la sangre (wergeld) después de haber matado a alguien.

La saga se centra luego en Einarr, uno de los pastores de Hrafnkell. Un día, un asunto urgente lo obliga a montar un caballo, pero al acercarse todos los animales lo rehúyen, con la excepción de Freyfaxi. Por ello, se sube a lomos de este y parte por el día. A continuación, el caballo vuelve por sí mismo a Aðalból y comienza a relinchar: Hrafnkell, al ver a su animal sucio y sudoroso, se da cuenta de lo que ha ocurrido. Sale entonces con su hacha y mata de mala gana a Einarr, con el fin de respetar su juramento.
El padre de Einarr, Þorbjörn, queda devastado por la muerte de su hijo y va al encuentro de Hrafnkell para reclamar el precio de la sangre. Este último le replica que él no paga el wergeld por ningún hombre. Admite, sin embargo, que esta muerte está entre las más atroces que ha cometido, y está dispuesto a dar una compensación honorable. Entonces le propone a Þorbjör alojarlo y cuidarlo hasta el resto de sus días. Þorbjör, no obstante, rechaza este acto de sometimiento y le exige al menos un acuerdo formal entre personas de igual rango. Al enfrentar el rechazo de Hrafnkell, Þorbjör no pierde la paciencia y busca una manera de lograr su objetivo.
Las leyes de la comunidad islandesa garantizan, en efecto, a cada hombre libre, los mismos derechos. Pero en la práctica, la ausencia de una autoridad ejecutiva central, hace que un hombre ordinario encuentre dificultades al enfrentar al jefe de un clan. En tales circunstancias, procedió a buscar el apoyo de otro jefe para ayudarle en los trámites legales, ya complejos en la época, y para posteriormente hacer aplicar el veredicto, en caso de éxito ante la asamblea.
Þorbjör solicita la ayuda de su hermano Bjarni, quien rechaza verse envuelto en una disputa con el poderoso Hrafnkell. A continuación, prueba suerte con Sámr, el hijo de Bjarni. Este último, a su vez, le aconseja mejor aceptar la oferta de Hrafnkell, sin lograr revertir la determinación del anciano. Sámr, quien no había tenido al comienzo intención alguna de involucrarse en el conflicto, se siente finalmente obligado a aceptar, en vista de la insistencia de su tío. El joven acepta formalmente tomar a su cargo el caso de Þorbjör en el proceso que se aproxima, y se convierte entonces en el querellante.

Sámr prepara su acusación contra Hrafnkell y le convoca al Alþing para el verano siguiente, lo que provoca la risa del poderoso jefe. Cuando Sámr y Þorbjör llegan a Þingvellir, donde se reúne la asamblea, descubren rápidamente que ninguno de los grandes jefes de clanes desea ofrecerles su ayuda. Esta vez, Þorbjör está pronto a abandonar, pero Sámr insiste para que el asunto sea llevado a término de una manera o de otra. Sámr y Þorbjör luego se encuentran por casualidad con Þorkell, un joven aventurero originario de Vestfirðir (fiordos del oeste). El hombre simpatiza con su causa y los ayuda a obtener el apoyo de su hermano Þorgeirr, un jefe poderoso. Gracias a esto, Sámr puede iniciar el proceso y allí demostrar toda su pericia. Hrafnkell es declarado culpable, y como resultado de este juicio, Sámr recibe el derecho de matar a Hrafnkell y de confiscar sus bienes y sus tierras. El joven, acompañado de Þorgeirr y de Þorkell, llega a Aðalból muy temprano una mañana, sorprende a Hrafnkell durante el sueño y lo captura.
Le dejan dos posibilidades a Hrafnkell: ser ejecutado en el campo o convertirse en súbdito de Sámr, despojado de su honor y de sus bienes. Hrafnkell, ante la disyuntiva, escoge vivir. Þorkell predice entonces a Sámr que se arrepentirá de haber perdonado la vida a su enemigo.[n 1]

Sámr toma oficialmente posesión de Aðalból e invita a los habitantes locales a una gran fiesta, durante la cual ellos lo reconocen como su nuevo jefe. Hrafnkell, por su parte, se marcha para construirse una nueva morada en otro valle. Su ambición, que mantuvo intacta, y su tesón le permiten convertirse en un respetable granjero después de algunos años de dura labor.
Þorkell y Þorgeirr, cuya sed de venganza no ha sido saciada todavía, deciden «entregar a Freyfaxi a su propietario» y arrojan el caballo desde lo alto de un acantilado. Asimismo, incendian el templo de Hrafnkell. Habiéndose enterado de todo esto, Hrafnkell llega a la conclusión de que «es una locura creer en los dioses», desde entonces nunca más realiza sacrificio alguno. Su comportamiento se vuelve más civilizado, y el antiguo jefe tiránico se hace cada vez más agradable con sus servidores. De este modo va adquiriendo popularidad y atrae la lealtad de su entorno.[n 2]
Tras seis años de paz, Hrafnkell estima que ha llegado la hora de su revancha. Descubre que el hermano de Sámr, Eyvindr, efectúa un viaje a un lugar cercano con algunos compañeros. Hrafnkell reúne a sus propios hombres y se lanza al ataque. Sámr, tan pronto como se da cuenta de la emboscada, va en ayuda de su hermano con algunos hombres, pero llega demasiado tarde.

A la mañana siguiente, Hrafnkell sorprende a Sámr durante el sueño y le ofrece la misma elección que este le había hecho seis años atrás. Al igual que su enemigo la vez anterior, Sámr prefiere vivir. Entonces Hrafnkell se reinstala en Aðalból, su antigua residencia y reasume sus funciones como jefe de clan.
Sámr parte hacia el oeste buscando nuevamente el apoyo de Þorkell y Þorgeirr, pero estos últimos le replican que él es único causante de su propia desgracia: él debería haber matado a Hrafnkell cuando tuvo la ocasión. Es por esta razón que ellos rechazan apoyar a Sámr en una nueva lucha contra su rival. Le ofrecen, en compensación, permitirle vivir a su lado. Sámr declina la invitación y regresa donde Hrafnkell, a quien servirá hasta el fin de sus días sin poder vengarse.
En cuanto a Hrafnkell, este permanece como un jefe respetado hasta morir en paz, rodeado de los suyos. Sus hijos se convierten en jefes de clanes a su debido tiempo.[n 3]
Del escritor original al lector moderno
Preservación del relato
El autor de la saga de Hrafnkell permanece completamente desconocido hasta nuestros días. El texto mismo no lo nombra, ni tampoco aparece en otras fuentes de la época. Sin duda fue un islandés, y debió haber vivido cerca del lugar donde se desarrollan las peripecias de la saga.

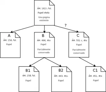
La fecha precisa de composición de la obra es igualmente difícil de determinar: la de fines del siglo XIII parece ser la hipótesis más probable.[2] El manuscrito más antiguo que subsiste está escrito sobre pergamino, más concretamente sobre vitela, y data de la primera mitad del siglo XV, pudiendo tratarse de la copia directa del texto original.[3] Desgraciadamente solo una de sus páginas ha sobrevivido hasta nuestros días. Sin embargo, a partir de las copias de este manuscrito, se hicieron los manuscritos en papel ulteriores, y que han permitido preservar la integridad de la saga. La obra inicial está entonces bien conservada, y no ha sido necesario más que realizar ligeras reescrituras o pulir errores de copia.
Una de las familias de manuscritos en papel, llamada C y C1 en el esquema del lado, contiene una versión notoriamente diferente de la saga, con muchas adiciones menores. La mayor parte de los investigadores releen estas obras junto al original en vitela, pero piensan que los agregados son obra del autor de la saga de Fljótsdæla. Por ello, se presta más atención a las versiones más cortas de la historia de Hrafnkell en comparación a las versiones más largas, juzgadas apócrifas.
Las diferentes ediciones

Peder Goth Thorsen y Konráð Gíslasson editaron la saga por primera vez en 1839, en Copenhague. Siguieron otras ediciones eruditas, donde se puede destacar la de Jákup Jakobsen en 1902-1903 y la Jón Jóhannesson en 1950.
La saga de Hrafnkell ha conocido también numerosas ediciones populares, así como traducciones en diversas lenguas. La edición publicada por Halldór Laxness en 1942 fue particularmente audaz, en el sentido de que por primera vez aplicó la ortografía del islandés moderno a un texto en nórdico antiguo. Muchos detractores vieron en esto una perversión del texto original. Los partidarios de esta opción, por el contrario, han argumentado que la ortografía del nórdico antiguo es en sí misma una construcción artificial, no más cercana a los antiguos manuscritos que la ortografía moderna, y sin duda mucho más complicada para el lector. Esta tesis terminó predominando, al punto que las ediciones actuales de las sagas han recurrido en su mayoría a las convenciones tipográficas modernas.
Recepción del lector moderno
Hoy en día, la saga de Hrafnkell permanece como una de las sagas islandesas más leídas del mundo. Los lectores aprecian especialmente su intriga lógica y coherente, la cual hace de esta saga corta una primera lectura ideal para quienes desean descubrir este género literario tan particular. El texto es estudiado en profundidad en las secundarias islandesas y constituye a la vez un buen texto de introducción para los estudiantes de nórdico antiguo. Sigurður Nordal ha llegado a decir que es «una de las novelas cortas más perfectas de la literatura mundial».
Orígenes
El hecho de que la saga de Hrafnkell sea tan accesible, la ha hecho un objeto de estudio privilegiado para descubrir el origen exacto de las sagas islandesas. En este caso, los mismos elementos sirven a veces para sostener teorías muy diferentes.
Historia
Los comentaristas habían considerado por largo tiempo que las sagas eran fieles reseñas de eventos históricos, las cuales habrían sido transmitidas oralmente durante muchas generaciones antes de ser puestas en papel por los copistas preocupados de la veracidad de los hechos. Los investigadores del siglo XIX, en particular, fueron seducidos por esta teoría. No obstante, la idea fue abandonada en los medios universitarios hacia 1940, y solo la sostienen todavía los aficionados entusiastas.
Muchos continúan viendo en la saga de Hrafnkell un ejemplo típico de historia oral preservada con exactitud. La verosimilitud del relato, el realismo de los protagonistas y sus reacciones contribuyen a favorecer esta hipótesis, así como la ausencia de elementos sobrenaturales. Por otro lado, la brevedad del texto hace creíble que su contenido haya podido ser transmitido por vía oral de manera coherente durante largo período cronológico: el lector moderno por sí mismo, después de dos o tres lecturas, será capaz de narrar la historia con precisión.
Pero esta interpretación histórica enfrenta un sinnúmero de dificultades. Cuando se compara la saga con otras fuentes de la misma época, particularmente con el Landnámabók, aparecen inmediatamente muchas incoherencias. Verbigracia, el Landnámabók nos muestra que Hrafnkell tuvo un padre llamado Hrafn, mientras que la saga le da el nombre de Hallfreðr. La forma en que la saga presenta las leyes de la época, y la manera de aplicarlas, entran a menudo en contradicción con otras fuentes más fiables.
Literatura
Las incoherencias históricas de la saga, así como otros elementos, han llevado a Sigurður Nordal a formular una teoría novedosa en un libro titulado Hrafnkatla, publicado en 1940. La obra se nutre de las críticas formuladas precedentemente y reúne las informaciones recolectadas a través de Islandia para invalidar definitivamente la tesis de la veracidad histórica.
Más allá de las divergencias anotadas con el Landnámabók y la realidad jurídica de esta época, Nordal agrega que la saga trata igualmente los datos geográficos de manera incorrecta. Los valles en los cuales se desarrollan las peripecias del relato no habrían podido acoger una población tan importante como parece sugerir el texto. En cuanto al acantilado situado cerca de Aðalból y donde el caballo Freyfaxi encontró la muerte, el autor constata que simplemente no existe.
A diferencia de las antiguas teorías, Nordal ve en el parecido y la consistencia de la saga un indicio que lo hace pensar que solo un talentoso autor estaría detrás de la otra. Según el investigador, el autor se preocupa poco de la exactitud histórica: si bien pudo en ocasiones haber consultado algunos documentos antiguos, él ha adaptado probablemente su contenido de manera de hacerlo concordar con la intriga de su relato.
Folclore
Otra escuela de pensamiento dedicada al origen de las sagas apareció en la segunda mitad del siglo XX: ella se dedica a subrayar los elementos folclóricos presentes en estos textos y a poner de manifiesto la supervivencia de leyendas muy antiguas.
Esta corriente, en ciertos puntos, se acerca a la vieja idea relativa a la preservación oral de las sagas, pero sin necesariamente focalizarse en la pregunta sobre su veracidad histórica. Los académicos utilizan los métodos de la investigación moderna para determinar en una historia, los elementos susceptibles de persistir al paso del tiempo, en oposición a aquellos que resultan efímeros. La experiencia parece sugerir que la intriga central de las sagas puede conservarse a través de la transmisión oral sin dificultad por largo plazo, mientras que los detalles más anecdóticos como el nombre de los personajes secundarios pueden modificarse durante el paso de los siglos.
El investigador islandés Óskar Halldórsson escribió un breve estudio sobre la saga de Hrafnkell, en el que critica los trabajos de Sigurður Nordal. Según Halldórsson, inexactitudes tales como el error en el nombre del padre del héroe no prueban en absoluto que la saga no sea más que ficción inventada completamente en el siglo XIII. Al contrario, se puede ver allí la confirmación de que la historia de Hrafnkell se ha podido preservar oralmente durante un largo período sin sufrir más que alteraciones secundarias, bastante después de la redacción del Landnámabók.
Óskar Halldórsson estableció, por otro lado, un vínculo entre el episodio de Freyfaxi y la veneración de los caballos, tradición ampliamente extendida entre todos los pueblos indoeuropeos. La presencia de este tipo de temas mitológicos o folclóricos, según él, indica que numerosos elementos de la saga de Hrafnkell provienen en realidad la época precristiana.
Análisis recientes
El debate relativo a la saga de Hrafnkell permanece abierto. En un libro publicado en 1988, Hermann Pálsson refuta nuevamente la tesis de la transmisión oral y busca ligar la obra con las grandes corrientes de ideas de la Europa Medieval. Contrariamente a los estudios precedentes, este examen fue realizado a partir de la versión larga de la saga (véase esta sección).
En su estudio realizado en 2000, Jón Hnefill Aðalsteinsson subraya la omnipresencia de los temas paganos en el texto. Al mismo tiempo que reconoce que una gran parte de la historia pudo haber sido inventada en el siglo XIII, el investigador ha puesto en evidencia muchos elementos que parecen provenir de la tradición oral, como los sacrificios realizados por Hrafnkell o la personalidad de Freyfaxi.
En un pasaje de su trabajo general de 1988 sobre las sagas,[4] Jónas Kristjánsson ha reconciliado eficazmente las diferentes tesis en relación con el tema de la saga de Hrafnkell: el interés principal de esta última, digámoslo así, reside en que «ha suscitado la curiosidad por otros textos. Se ha transformado en un caso de escuela, un ejemplo clásico en las discusiones sobre la relación entre la rudimentaria tradición oral y los copistas doctos, entre el pragmatismo tradicional de las actitudes y la nueva ética cristiana».
Notas
- Está acreditado que es Þorkell quien hace este comentario en todos los manuscritos. Sin embargo, algunos editores han corregido y han atribuido la frase a Þorgeirr, seguida de un comentario de Sigurður Nordal.
- El relato del presente artículo sigue el mismo orden de los acontecimientos que aparece en la saga. Algunos comentaristas han encontrado ilógico que el texto no describa la muerte de Freyfaxi y la reacción de Hrafnkell inmediatamente después de la humillación sufrida por este último en Aðalból. Sigurður Nordal vio aquí una debilidad, pero Óskar Halldórsson defendió la narración original, debido a que hacía más lógica la evolución en la personalidad del héroe.
- Las hazañas de los descendientes de Hrafnkell son evocados en una continuación de menor calidad, la saga de Fljótsdæla.
Referencias
- Pálsson, 1971.
- Tracy, Larissa (2015), Torture and Brutality in Medieval Literature: Negotiations of National Identity, Boydell & Brewer Ltd, ISBN 1843843935 p. 117.
- Margaret Clunies Ross, The Cambridge Introduction to the Old Norse-Icelandic Saga, Cambridge University Press, 2010, ISBN 1139492640 p. 58.
- Kristjánsson, 1988.
Bibliografía
- Bibliografía referenciada
- Kristjánsson, Jónas (1988). Eddas and Sagas. Iceland's Medieval Literature (en inglés). trad por Peter Foote. Reykjavík: Hið íslenska bókmenntafélag. ISBN 9979660252.
- Pálsson, Hermann (1971). Hrafnkel's Saga and Other Icelandic Stories (en inglés). Penguin Classics. ISBN 0140442383.
- Bibliografía adicional
- Aðalsteinsson, Jón Hnefill (2000). Þá hneggjaði Freyfaxi (en islandés). Reykjavik: Háskólaútgáfan. ISBN 9979-54-431-7.
- Boyer, Régis (1987). Sagas islandaises (en francés). Bibliothèque de la Pléiade, Gallimard. ISBN 2-07-011117-2.
- Halldórsson, Óskar (1976). Uppruni og þema Hrafnkels sögu (en islandés). Reykjavik: Hið íslenska bókmenntafélag.
- Halleux, Pierre (1963). Aspects littéraires de la Saga de Hrafnkell (en francés). París: Belles Lettres.
- Jóhannesson, Jón (1950). Íslenzk fornrit XI - Austfirðinga sögur (en islandés). Reykjavik: Hið íslenzka fornritafélag. ISBN 9979-893-11-7.
- Kristjánsson, Jónas (2003). Les miniatures islandaises: sagas, histoire, art (en francés). La Renaissance du Livre. ISBN 2-8046-0822-0.
- Nordal, Sigurður (1944). University of Wales, Cardiff, ed. Hrafnkatla (en islandés). Reykjavik.
- Pálsson, Hermann (1988). Mannfræði Hrafnkels sögu og frumþættir (en islandés). Reykjavík: Ókaútgáfa Menningarsjóðs.
- Thomas, R. George (traductor) (1958). Hrafnkels saga Freysgoða: a study (en inglés). University of Wales, Cardiff.
- Tucker, John (traductor) (1989). Sagas of the Icelanders: a book of essays (en inglés). Nueva York: Garland. ISBN 0-8240-8387-3.
Enlaces externos
Wikimedia Commons alberga una categoría multimedia sobre la Saga de Hrafnkell.- (en islandés) Texto íntegro de la Saga de Hrafnkell;
- (en francés) Texto de la Saga de Hrafnkell, en el sitio de Philippe Remacle (1944 - 2011); trad. de Jules Leclercq;
- (en inglés) Fotografías de los manuscritos (enlace roto disponible en Internet Archive; véase el historial, la primera versión y la última).;
- (en inglés) Ensayo sobre el héroe de la Saga de Hrafnkell;
- (en inglés) Ensayo sobre los elementos míticos en la Saga de Hrafnkell;
- (en inglés) Proverbios en la Saga de Hrafnkell;
- (en francés) Las sagas y el derecho - un ensayo de Sebastián Nowenstein;
- (en francés) Sagas islandesas clasificadas por fecha de publicación de sus traducciones - dossier bibliográfico de la Librairie Compagnie.