Indigoidina
La indigoidina es un pigmento azul alcaloidal bispiridínico aislado de Corynebacterium insidiosum, Pseudomonas indigofera,[2] Arthrobacter atrocyaneus, Arthrobacter polychromogenes y Vogesella indigofera.[3] Es muy insoluble en disolventes orgánicos. Es soluble en ácidos calientes concentrados. UV: [neutro]λmax605 (log ε4.33) (N-metilpirrolidina).[4]
| Indigoidina | ||
|---|---|---|
![]() | ||
| Nombre IUPAC | ||
| 5-Amino-3-[5-amino-1,6-dihidro-2,6-dioxo-3(2H)-piridiniliden]-2,6(1H,3H)-piridinodiona | ||
| General | ||
| Fórmula estructural |
![]() | |
| Fórmula molecular | C10H8N4O4 | |
| Identificadores | ||
| Número CAS | 2435-59-8[1] | |
| ChEBI | 79296 | |
| ChemSpider | 4590923 | |
| PubChem | 5492261 | |
| Propiedades físicas | ||
| Apariencia | Polvo amorfo color azul | |
| Masa molar | 248,198 g/mol | |
| Valores en el SI y en condiciones estándar (25 ℃ y 1 atm), salvo que se indique lo contrario. | ||
Biosíntesis
La indigoidina es biosintetizada por un complejo enzimático del tipo de las polipéptido sintasas, en donde la glutamina se oxida, heterocicliza y se dimeriza[5]

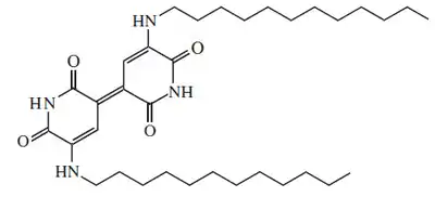
Derivados
La N5,N5′-Didodecilindigoidina es un derivado de la indigoidina. Este pigmento fue aislado del barohalopsicrófilo Shewanella violacea cepa DSS12. CAS 601473-30-7; fórmula molecular: C34H56N4O4; PM = 584.841; su aspecto son cristales violetas que funden a 265 °C.[6]

Síntesis
Dieris y colaboradores sintetizaron la indigoigina en 1979[7]
Referencias
- Número CAS
- Takahashi, H. et al., J. Biol. Chem., 2007, 282, 9073- 9081
- Kuhn, R. et al., Arch. Mikrobiol., 1965, 51, 71- 84
- Kuhn, R. et al., Chem. Ber., 1965, 98, 2139- 2153
- M. Muller et al. Metabolic Engineering 14 (2012) 325–335
- Kobayashi, H. et al., Extremophiles, 2007, 11, 245- 250
- Dieris, C.-G. et al., Synthesis, 1979, 948- 950
