Karl Elbs
Karl Joseph Xaver Elbs (Alt-Breisach, 13 de septiembre de 1858 - Gießen, 24 de agosto de 1933) fue un químico alemán.
| Karl Elbs | ||
|---|---|---|
![]() | ||
| Información personal | ||
| Nacimiento |
13 de septiembre de 1858 Alt-Breisach, Baden | |
| Fallecimiento |
24 de agosto de 1933 (74 años) | |
| Nacionalidad | Alemana | |
| Educación | ||
| Educado en | Universidad de Friburgo | |
| Supervisor doctoral | Adolf Claus | |
| Información profesional | ||
| Área |
Química orgánica Electroquímica | |
| Conocido por |
Reacción de Elbs Oxidación del persulfato de Elbs | |
| Empleador |
Universidad de Friburgo Universidad de Gießen | |
| Miembro de | Academia Alemana de las Ciencias Naturales Leopoldina | |
Vida
Elbs se formó en química en la Universidad de Friburgo, donde se doctoró en 1880 bajo la dirección de Adolf Claus, descubridor de la fenazina. Su tesis versó sobre los derivados de la amarina y de ella se derivaron dos publicaciones conjuntas con Claus en 1880 y 1883.[1][2] En 1883 consiguió la habilitación como profesor en la Universidad de Friburgo y allí permaneció como docente hasta 1894. En dicho año, Elbs se trasladó a la Universidad de Gießen donde permaneció hasta su jubilación en 1929.
Trabajo
Elbs es considerado uno de los fundadores de la electroquímica cuantitativa, junto con otros prominentes científicos como Walther Löb, Julius Tafel y Fritz Haber. Sus trabajos en este campo se centraron en la reducción de nitroderivados aromáticos y de cetonas. También investigó la formación de peroxisulfatos, la yodación de compuestos aromáticos, la formación de compuestos de plomo (IV) y la síntesis de yodoformo.
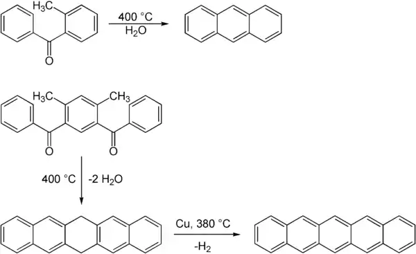
En el campo de la química orgánica, Elbs desarrolló dos reacciones químicas que hoy en día llevan su nombre. La primera de ellas, desarrollada entre 1884 y 1890 es la reacción de Elbs, una deshidratación de diarilcetonas o-metil- u o-metilen-sustituidas para originar antracenos.
La segunda reacción, desarrollada en 1893, es la oxidación del persulfato de Elbs, que consiste en la reacción entre aniones de peroxidisulfato con aniones fenolato para originar como producto principal p-fenolsulfato.
Reacción de Elbs
Esta reacción permite la síntesis de sistemas aromáticos condensados. Elbs demostró la posibilidad de obtener antraceno mediante una reacción de deshidratación, pero incluso se pueden llegar a obtener sistemas policíclos mayores, como el pentaceno, y en estos casos la reacción tiene lugar en varias etapas. En el caso de la síntesis de pentaceno, en primer lugar se obtiene dihidropentaceno que es posteriormente deshidrogenado utilizando cobre como catalizador.[3]

Los compuestos acilados requeridos para este proceso se suelen obtener mediante acilación de Friedel-Crafts utilizando cloruro de aluminio como catalizador.[3][4]
Referencias
- Behrman, E. J. (2005). «Karl Elbs, 1858-1933». Bulletin for the History of Chemistry 30 (1): 19-22.
- Claus, A.; Elbs, K. (1880). «Zur Kenntniss des Amarins». Berichte der deutschen chemischen Gesellschaft 13 (2): 1418-1421.
- Elbs, K. (1883). «Einige Synthesen mit Chlorpikrin mittelst Chloraluminium». Berichte der deutschen chemischen Gesellschaft 16 (1): 1274-1277.
- Breitmaier, E.; Jung, G. (2005). Organische Chemie (5 edición). Thieme Verlag. ISBN 978-3-13-541505-5.
- Elbs, K. (1886). «Beiträge zur Kenntniss aromatischer Ketone. Erste Mittheilung». Journal für praktische Chemie 33: 180-188. doi:10.1002/prac.18860330119.
