Lepidina

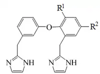
Las lepidinas son alcaloides imidazólicos aislados de las semillas del berro (Lepidium sativum) (Brassicaceae). Se han aislado 4 lepidinas y todos son dímeros de 3-(1H-imidazol-2-ilmetil)fenol.[1][2]

Lepidinas

Propiedades

 Nombre    Derivado    Fórmula molecular    CAS   Masa molecular (g/mol)   Estado 
Lepidina A R1 = MeO; R2 = H C21H20N4O2 100108-65-4 360.415 Cristales (Diclorometano/Metanol)
Lepidina B R1 = H ; R2 = H C20H18N4O2 220433-99-8 346.388 Cristales amarillos (Diclorometano/metanol) PF = 212 - 214 °C
Lepidina C R1 = H ; R2 = OMe C21H20N4O2 220434-00-4 360.415 Cristales amarillos (Diclorometano/Metanol) PF =194 - 195°
Lepidina D R1 = H ; R2 = OH C20H18N4O2 220434-01-5 346.388 Cristales amarillos (Diclorometano/Metanol) PF = 202 - 204 °C

Referencias

  1. Bahroun, A. et al., J. Soc. Chim. Tunis., 1985, 2, 15- 24
  2. Maier, U.H. et al., Phytochemistry, 1998, 49, 1791- 1795


Este artículo ha sido escrito por Wikipedia. El texto está disponible bajo la licencia Creative Commons - Atribución - CompartirIgual. Pueden aplicarse cláusulas adicionales a los archivos multimedia.