Lupeol
Lupeol es un principio activo triterpenoides.
| Lupeol | ||
|---|---|---|
![]() | ||
| Nombre IUPAC | ||
| (1R,3aR,5aR,5bR,7aR,9S,11aR, 11bR,13aR,13bR)-3a,5a,5b,8,8,11a-hexamethyl-1-prop-1-en-2-yl-1,2,3,4,5,6,7,7a,9,10,11,11b,12,13,13a,13b-hexadecahydrocyclopenta[a]chrysen-9-ol | ||
| General | ||
| Otros nombres | (3β,13ξ)-Lup-20(29)-en-3-ol; Clerodol; Monogynol B; Fagarasterol; Farganasterol | |
| Fórmula estructural |
![]() | |
| Fórmula molecular |
C 30H 50O 1 | |
| Identificadores | ||
| Número CAS | 545-47-1[1] | |
| Número RTECS | OK5763000 | |
| ChEBI | 6570 | |
| ChEMBL | 289191 | |
| ChemSpider | 23089061 | |
| DrugBank | 12622 | |
| PubChem | 259846 | |
| UNII | O268W13H3O | |
| KEGG | C08628 | |
|
CC([C@@H]1CC[C@@]2(C)[C@@]1([H])[C@@]3([H])CC[C@]4([H])[C@@]5(C)CC[C@H](O)C(C)(C)[C@]5([H])CC[C@@]4(C)[C@]3(C)CC2)=C
| ||
| Propiedades físicas | ||
| Masa molar | 426,72 g/mol | |
| Valores en el SI y en condiciones estándar (25 ℃ y 1 atm), salvo que se indique lo contrario. | ||
Tiene varias propiedades medicinales, uno es antiinflamatorio. Un estudio de 1998 encontró que lupeol disminuía la inflamación de las patas en ratas en un 39%, en comparación con el 35% para el compuesto de control estandarizado indometacina.[2]
Aparición natural
Se encuentra en una variedad de plantas, incluyendo el mango, Acacia visco o Abronia villosa.[3] También se encuentra en el te de diente de león.
Síntesis
La primera síntesis total de lupeol se informó por Gilbert Stork et al.[4]
Recientemente, en 2009, Surendra y Corey informaron de una síntesis total más eficiente y enantioselectiva de lupeol, a partir de (1E,5E)-8-[(2S)-3,3-dimethyloxiran-2-yl]-2,6-dimethylocta-1,5-dienyl acetato por el uso de una polycyclización.[5]

Biosíntesis
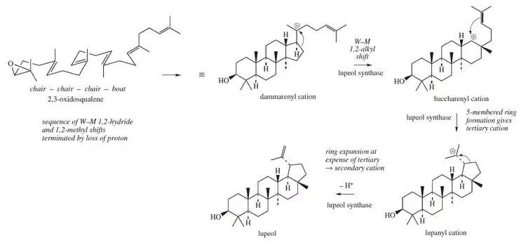
Lupeol es producida por varios organismos de epóxido de escualeno (2,3-oxidoescualeno). Esqueletos de dammarano y baccharano se forman como productos intermedios. Las reacciones son catalizadas por la enzima sintasa lupeol:[6]

Farmacología
Lupeol tiene una farmacología compleja en los seres humanos, mostrándose antiprotozoario, antimicrobiano, antiinflamatorio, antitumoral y propiedades quimio preventivas.[7] Un estudio también ha encontrado alguna actividad como inhibidora de la dipeptidil peptidasa-4 y prolil oligopeptidasa a concentraciones altas (en el rango milimolar).[8]
Es un inhibidor eficaz en modelos de laboratorio del cáncer de próstata y de piel.[9][10][11]
Mecanismo de acción
Como un agente antiinflamatorio, lupeol funciona principalmente sobre el sistema interleucina. Bani y col. (2006) encontraron lupeol para disminuir la IL-4 (interleucina 4) la producidas por tipo 2 células T-helper.[7]
Referencias
- Número CAS
- Geetha, T; Varalakshmi, P (2001). «Anti-inflammatory activity of lupeol and lupeol linoleate in rats». Journal of Ethnopharmacology 76 (1): 77-80. PMID 11378285. doi:10.1016/S0378-8741(01)00175-1.
- Starks, CM; Williams, RB; Norman, VL; Lawrence, JA; Goering, MG; O'Neil-Johnson, M; Hu, JF; Rice, SM; Eldridge, GR (2011). «Abronione, a rotenoid from the desert annual Abronia villosa». Phytochemistry letters 4 (2): 72-74. PMC 3099468. PMID 21617767. doi:10.1016/j.phytol.2010.08.004.
- Stork, Gilbert; Uyeo, Shoichiro; Wakamatsu, T.; Grieco, P.; Labovitz, J. (1971). «Total synthesis of lupeol». Journal of the American Chemical Society 93 (19): 4945. doi:10.1021/ja00748a068.
- Surendra, K; Corey, EJ (2009). «A short enantioselective total synthesis of the fundamental pentacyclic triterpene lupeol». Journal of the American Chemical Society 131 (39): 13928-9. PMID 19788328. doi:10.1021/ja906335u.
- «Copia archivada». Archivado desde el original el 17 de julio de 2012. Consultado el 3 de enero de 2014.
- Margareth B. C. Gallo, Miranda J. Sarachine (2009). «Biological activities of Lupeol». International Journal of Biomedical and Pharmaceutical Sciences. Archivado desde el original el 25 de octubre de 2010.
- Marques, MR; Stüker, C; Kichik, N; Tarragó, T; Giralt, E; Morel, AF; Dalcol, II (2010). «Flavonoids with prolyl oligopeptidase inhibitory activity isolated from Scutellaria racemosa Pers». Fitoterapia 81 (6): 552-6. PMID 20117183. doi:10.1016/j.fitote.2010.01.018.
- Prasad S, Kalra N, Singh M, Shukla Y (2008). «Protective effects of lupeol and mango extract against androgen induced oxidative stress in Swiss albino mice» (PDF). Asian J Androl 10 (2): 313-8. PMID 18097535. doi:10.1111/j.1745-7262.2008.00313.x.
- Nigam N, Prasad S, Shukla Y (2007). «Preventive effects of lupeol on DMBA induced DNA alkylation damage in mouse skin». Food Chem Toxicol 45 (11): 2331-5. PMID 17637493. doi:10.1016/j.fct.2007.06.002.
- Saleem M, Afaq F, Adhami VM, Mukhtar H (2004). «Lupeol modulates NF-kappaB and PI3K/Akt pathways and inhibits skin cancer in CD-1 mice». Oncogene 23 (30): 5203-14. PMID 15122342. doi:10.1038/sj.onc.1207641.
Enlaces externos
- Esta obra contiene una traducción derivada de «Lupeol» de Wikipedia en inglés, publicada por sus editores bajo la Licencia de documentación libre de GNU y la Licencia Creative Commons Atribución-CompartirIgual 4.0 Internacional.
