Malekulatina
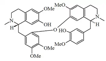
La malekulatina es un alcaloide bistetrahidroisoquinolínico aislado de la corteza de Hernandia peltata (Hernandiaceae).[2] Muestra una actividad antiplasmódica y evita la agregación de plaquetas. [α]25D = +156 (c, 0.14 en MeOH)[3][4]
| Malekulatina | ||
|---|---|---|
![]() | ||
| General | ||
| Fórmula molecular | C39H46N2O8 | |
| Identificadores | ||
| Número CAS | 87183-76-4[1] | |
| PubChem | 10439456 | |
| Propiedades físicas | ||
| Masa molar | 670,801 g/mol | |
| Valores en el SI y en condiciones estándar (25 ℃ y 1 atm), salvo que se indique lo contrario. | ||
Referencias
- Número CAS
- Bruneton, J. et al., JOC, 1983, 48, 3957
- Chen, I.S. et al., Planta Med., 1995, 61, 537- 539
- Angerhoffer, C.K. et al., J. Nat. Prod., 1999, 62, 59- 66
Este artículo ha sido escrito por Wikipedia. El texto está disponible bajo la licencia Creative Commons - Atribución - CompartirIgual. Pueden aplicarse cláusulas adicionales a los archivos multimedia.
