Metiamida
La Metiamida es un antagonista de los receptores H2 de la histamina. Reduce la secreción de ácido gástrico basal y nocturno y promueve una reducción en el volumen gástrico, la acidez y la cantidad de ácido gástrico liberado en respuesta a estímulos que incluyen alimentos, cafeína, insulina, betazol o pentagastrina. La metiamida inhibe muchas de las isoenzimas del sistema enzimático del citocromo P450 (CYP450) en el hígado. Otras acciones del fármaco incluyen un aumento en la microbiota intestinal, como los organismos reductores de nitratos.[1] La Metiamida fue discontinuada en 1977.
| Metiamida | ||
|---|---|---|
![]() | ||
| Nombre (IUPAC) sistemático | ||
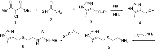
| 1-metil-3-[2-[(5-metil-1H-imidazol-4-il)metilsulfanil]etil]tiourea | ||
| Identificadores | ||
| Número CAS | 34839-70-8 | |
| Código ATC | No adjudicado | |
| PubChem | 1548992 | |
| DrugBank | DB08805 | |
| Datos químicos | ||
| Fórmula | C9H16N4S2 | |
| Peso mol. | 244.375 g/mol | |
|
CC1=C(N=CN1)CSCCNC(=S)NC
| ||
| Datos clínicos | ||
| Estado legal | Grupo IV (Medicamentos expedidos mediante receta médica, autorizados para su venta exclusivamente en farmacias.) (MEX) Descontinuado | |
| Vías de adm. | Vía oral e intravenoso | |
Historia

La síntesis de los inhibidores de los receptores H2 se logró modificando algunos pasos de la molécula de la histamina. Tras casi 200 intentos, se llegó al primer fármaco de este grupo: la burimamida. Éste fármaco, como otros compuestos derivados, conserva el anillo imidazol de la histamina. Posteriormente nace la metiamida que cayó en desuso muy rápidamente en los primeros años de uso en clínica.[2]
Después de extensos estudios en animales, en 1973 se presentó el primer informe sobre el efecto de la metiamida en humanos en un simposio internacional patrocinado por la compañía farmacéutica cuyos trabajadores habían realizado el descubrimiento básico. Habían encontrado que la metiamida inhibía definitivamente el volumen de ácido y el contenido de pepsina de la secreción gástrica en el hombre durante la infusión de pentagastrina, y los ensayos con dosis bajas a corto plazo no revelaron evidencia de efectos secundarios significativos.[1]
Estudios posteriores en pacientes con úlcera duodenal mostraron que la metiamida disminuía en un 80% la secreción de ácido gástrico basal y suprimía la secreción de ácido nocturna.[1]
La metiamida se empleó en el tratamiento de la ulceración péptica grave en el síndrome de Zollinger-Ellison. Las úlceras se curaron por completo en los cuatro pacientes después de un tratamiento que duró de seis semanas a cuatro meses y medio. Dos pacientes desarrollaron úlcera recurrente después de que el tratamiento se hubo detenido, pero respondieron a un segundo curso de tratamiento.[3]
Tras la salida de la metiamida, en 1977 se lanza la cimetidina que se convirtió en uno de los medicamentos más prescritos en el mundo hasta que fue descontinuado por provocar ginecomastia en hombres.[4]
Referencias
- Badley, BW (25 de enero de 1975). «Some aspects of medical management of gastrointestinal disease. I.» (PDF (acceso público)). Canadian Medical Association Journal 112 (2): 200-4, 206. PMID 234288. Consultado el 5 de febrero de 2018.
- Ganellin, CR (Enero de 2011). «Personal reflections on Sir James Black (1924-2010) and histamine.». Inflammation research : official journal of the European Histamine Research Society ... [et al.] 60 (1): 103-10. PMID 20978923. doi:10.1007/s00011-010-0269-2. Consultado el 5 de febrero de 2018.
- Hausamen, TU; Fritsch, WP; Scholten, T; Jungblut, R; Strohmeyer, G (25 de noviembre de 1977). «Behandlung peptischer Ulzera beim Zollinger-Ellison-Syndrom mit Histamin-H2-Rezeptor-Antagonisten» [Tratamiento de la úlcera péptica en el síndrome de Zollinger-Ellison con antagonistas del receptor H2 de histamina.]. Deutsche medizinische Wochenschrift (1946) (en alemán) 102 (47): 1709-12. doi:10.1055/s-0028-1105561.
- Brunton, Laurence L.; Parker, Keith L.; Lazo, John S. (2005). «20». Goodman & Gilman's the pharmacological basis of therapeutics (11th ed. edición). New York: McGraw-Hill Medical Publishing Division. pp. 533-538. ISBN 0-07-142280-3.
