Monoterpenoides

Los monoterpenoides son los terpenoides que constan de 2 unidades de isopreno (10 carbonos). Se llaman así porque los primeros terpenoides aislados del aguarrás ("turpentine" en inglés) en 1850, fueron considerados la unidad base, a partir de la cual se hizo el resto de la nomenclatura. Los monoterpenos son mejor conocidos como componentes de las esencias volátiles de las flores y como parte de los aceites esenciales de hierbas y especias, en los que ellos forman parte de hasta el 5 % en peso de la planta seca. También se pueden encontrar en la naturaleza como el pomelo

Esqueletos monoterpenoides

Los esqueletos monoterpenoides pueden clasificarse en dos categorías:

  • Monoterpenos regulares, los cuales cumplen la regla de isoprénica de Wallach: La unión de las unidades isoprénicas es 1,4 (O "cabeza - cola")
  • Monoterpenos irregulares, los cuales no cumplen dicha regla.

Acíclicos

Estructura:
Nombre IUPAC 2,6-dimetiloctano

Monocíclicos

Estructura:
Nombre Trivial: Mentano Iridano Octodano
Nombre IUPAC: 4-metil-1-isopropilciclohexano 1,2-dimetil-3-isopropilciclopentano 3-Etil-1,1-dimetilciclohexano
Estructura:
Nombre IUPAC: 1-etil-3-isopropilciclopentano 1-sec-butil-3-metilciclopentano 1-etil-1,3-dimetilciclohexano 1,1,4-trimetilcicloheptano

Bicíclicos

Estructura:
Nombre Trivial: Pinano Tujano Carano Canfano (Bornano)
Nombre IUPAC: 2,6,6-Trimetilbiciclo[3.1.1]heptano 1-Isopropil-4-metilbiciclo[3.1.0]hexano 3,7,7-Trimetilbiciclo[4.1.0]heptano 1,7,7-trimetilbiciclo[2.2.1]heptano

Acíclicos

Estructura:
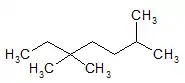
Nombre IUPAC: 2,5,5-Trimetilheptano 2,7-Dimetiloctano 2,3,6-Trimetilheptano 3-Etil-2,4-dimetilhexano (Secoiridano)

Monocíclicos

Estructura:
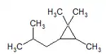
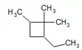
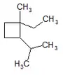
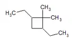
Nombre IUPAC: 2-Isobutil-1,1,3-trimetilciclopropano (Crisantemano) 2,4-Dietil-1,1-dimetilciclobutano 2-Etil-1,1,4-trimetilciclobutano 1-Etil-2-isopropil-1-metilciclobutano
Estructura:
Nombre IUPAC: 2-Butil-1,1-dimetilciclobutano 1,1,2,4-Tetrametilciclopentano 2-Etil-1,1,5-trimetilciclopentano 1-Etil-2,4-dimetilciclohexano 1-Isopropil-2-metilciclohexano (o-Mentano)
Estructura:
Nombre IUPAC: 1-Isopropil-3-metilciclohexano (m-Mentano) 1,1,2,5-Tetrametilciclohexano 1,1,2,2-Tetrametilciclohexano 1,1,3,4-Tetrametilciclohexano Isopropilcicloheptano

Referencias

  1. J. D. Connolly, Robert Alfred Hill (1991). Dictionary of Terpenoids, Volume 1. Chapman & Hall. ISBN 9780412257704.
Este artículo ha sido escrito por Wikipedia. El texto está disponible bajo la licencia Creative Commons - Atribución - CompartirIgual. Pueden aplicarse cláusulas adicionales a los archivos multimedia.