Nucleosíntesis estelar
La nucleosíntesis estelar es el conjunto de reacciones nucleares que tienen lugar en las estrellas y que son responsables de la creación de elementos químicos, algunos de ellos desde sus orígenes durante el Big Bang: como el hidrógeno, el helio y el litio. Este proceso forma parte de la evolución estelar y su cese al acabarse el combustible que desencadena las reacciones nucleares, deriva en el colapso gravitatorio de la estrella.[1] Para más información sobre otros procesos de síntesis de elementos ver nucleosíntesis.

La nucleosíntesis estelar, como teoría predictiva que es, reproduce de manera precisa la abundancia relativaobservada de los elementos, así como su variación con el tiempo y la abundancia de ciertos isótopos frente a otros. La teoría fue inicialmente propuesta por Fred Hoyle en 1946,[2] quien posteriormente la redefinió en 1954.[3] Hoyle también lideró un grupo de astrónomos experimentales y teóricos compuesto por él mismo, Margaret y Geoffrey Burbidge y William Alfred Fowler, quienes escribieron en 1957 el famoso artículo [4] (conocido así por las iniciales de sus cuatro autores), en el cual se añadían a la nucleosíntesis procesos relacionados con la captura de neutrones. Este artículo se convirtió en uno de los más citados a lo largo de la historia de la astrofísica.
Estos procesos empezaron a entenderse a principios del siglo XX, cuando quedó claro que solo las reacciones nucleares podrían explicar la gran longevidad de la fuente de calor y luz del Sol. Aproximadamente el 90 % de la energía producida por las estrellas vendrá de las reacciones de fusión del hidrógeno para convertirlo en helio.[5] Más del 6 % de la energía generada vendrá de la fusión del helio en carbono. Mientras que el resto de fases de combustión apenas contribuirán de forma apreciable a la energía emitida por la estrella a lo largo de toda su vida.
Historia
En 1920, Arthur Eddington, basándose en las precisas mediciones de los átomos realizadas por F.W Aston, y en las sugerencias preliminares de Jean Perris, fue el primero en sugerir que las estrellas obtenían su energía a partir de la fusión nuclear del hidrógeno en helio, añadiendo la posibilidad de que elementos más pesados fueran a su vez creados en las estrellas.[6][7][8] Este fue un primer paso hacia la teoría de nucleosíntesis estelar. En 1928, George Gamow dedujo el llamado factor de Gamow, una fórmula mecánico-cuántica que da la probabilidad de encontrar a una temperatura determinada dos núcleos suficientemente próximos como para que puedan saltarse la barrera coulombiana y aproximarse tanto el uno al otro que pudiera efectuarse una reacción nuclear debido a la fuerza nuclear fuerte, la cual solo es efectiva a cortas distancias.[9] El factor de Gamow fue usado en esa década por el astrónomo inglés Atkinson y el físico austríaco Houtermans y más tarde por el propio Gamow y por Teller para calcular el ritmo con el que las reacciones nucleares se producían a las altas temperaturas existentes en los interiores estelares.
En 1939, en un artículo titulado "Energy Production in Stars" ( "Producción de energía en las estrellas" ) , el estadounidense Hans Bethe analizó las diferentes posibilidades para que se diera la fusión del hidrógeno a helio.[10] Seleccionó dos procesos que creyó debían ser la principal fuente de energía de las estrellas. El primero de ellos fueron las cadenas protón-protón, que son las reacciones dominantes en estrellas pequeñas con masas no mucho más grandes que la del Sol. El segundo proceso fue el ciclo carbono-nitrógeno-oxígeno, también conocido como ciclo CNO, el cual fue también hallado independiente y simultáneamente por el alemán Carl Friedrich von Weizsäcker en 1938, este ciclo de reacciones es más importante en las estrellas masivas de la secuencia principal[11] y es igualmente equivalente a la fusión de cuatro protones para formar un núcleo de helio-4. Sin embargo, en ninguno de los dos papers se menciona la formación de núcleos más pesados. Esta teoría vino de la mano de Fred Hoyle en 1946, quien argumentó que una concentración de núcleos muy calientes podrían conformarse termodinámicamente como un núcleo de hierro.[2] Su trabajo continuó, y en 1954 publicó un paper describiendo como en etapas avanzadas de fusión en el interior de estrellas masivas podrían sintetizarse elementos desde el carbón hasta el hierro.[3][12]
Más tarde, fueron añadidos importantes detalles a la teoría de Bethe. Por ejemplo, supuso un importante avance la publicación de un relevante artículo en 1957 por Margaret Burbidge, Geoffrey Burbidge, Fowler y Hoyle, comúnmente conocido como ,[4] el cual se convirtió en uno de los más citados en toda la historia de la astrofísica. Este trabajo posterior recogió y refinó las investigaciones anteriores en un marco coherente que dio explicación a las diferentes abundancias de los elementos y aportó luz a los procesos de creación de núcleos más pesados que el hierro mediante el método de captura de neutrones.
Otras mejoras significativas llegaron de la mano de Alastair G. W. Cameron y Donald D. Clayton. Basándose en los avances de su predecesores, en 1957 Cameron introdujo los ordenadores para los cálculos dependientes del tiempo en la evolución de sistemas nucleares. Por otra parte, Clayton calculó los primeros modelos dependientes del tiempo en un proceso s en 1961[13] y en un proceso r en 1965,[14] así como la quema de silicio para la formación del núcleo de partículas alfa y en el grupo del hierro en 1968.[15][16] Clayton también descubrió la cronología radiogénica[17] para determinar la edad de los elementos.
Reacciones importantes

Las reacciones más importantes en la nucleosíntesis estelar son:
- Fusión del hidrógeno:
- La cadena protón-protón.
- El ciclo CNO.
- Fusión del deuterio.
- Fusión del helio:
- El proceso triple alfa.
- El proceso alfa.
- Quema de metales:
- Proceso de combustión del carbono.
- Proceso de combustión del oxígeno.
- Proceso de combustión del neón.
- Proceso de combustión del silicio.
- Producción de elementos más pesados que el hierro:
- Captura de neutrones:
- Captura de protones:
- Fotodesintegración.


Fusión del hidrógeno
La fusión del hidrógeno (fusión nuclear de 4 protones para formar un núcleo de helio-4[18] ) es el proceso que domina la generación de energía en los núcleos de las estrellas de la secuencia principal. También se conoce como “quema de hidrógeno”, lo cual no debe confundirse con la reacción química de combustión de hidrógeno en presencia de oxígeno. Existen principalmente dos procesos por los que se lleva a cabo la fusión del hidrógeno: cadena protón-protón y el ciclo de carbón-nitrógeno-oxígeno (ciclo CNO). El 90 % de las estrellas, a excepción de las enanas blancas, experimentan estos dos procesos para la fusión del hidrógeno.
En los núcleos de estrellas menos masivas de la secuencia principal, como el Sol, la producción de energía se lleva a cabo principalmente mediante la reacción de cadena protón-protón. En ella se genera un núcleo de helio-4 a través de una secuencia de reacciones que comienzan con la fusión de dos protones, dando lugar a un núcleo de deuterio (conformado por un protón y un neutrón) y liberando en dicho proceso un positrón y un neutrino. A lo largo del ciclo completo de la cadena protón-protón se generan en torno a 26.2 MeV.[19] La cadena protón-protón es relativamente insensible a variaciones de temperatura en el rango de temperaturas de 10^7 K.[19] Una variación de un 10% en la temperatura produce un cambio en la producción de energía de un 46%, aproximadamente. Para estrellas con una masa superior al 35% de la masa solar,[20] el flujo de energía hacia el exterior es suficientemente bajo como para que la energía transferida por radiación domine sobre la energía transferida por convección.[21] Como resultado, la mezcla de hidrógenos frescos que entran al núcleo o de productos de la fusión que se expulsan hacia el exterior es muy baja.
En estrellas más masivas, el proceso dominante de la producción de energía es el ciclo CNO, un ciclo catalítico en el cual se utilizan núcleos de carbono, nitrógeno y oxígeno como intermediarios en la producción de núcleos de helio.[19] En un ciclo CNO completo se liberan 25.0 MeV. La diferencia en la producción de energía de este método comparado con la cadena protón protón, se debe a la energía perdida en la emisión de neutrinos.[19] El ciclo CNO, en cambio, es muy sensible ante variaciones de temperatura. Una variación de un 10% de la temperatura produce un cambio en la producción de energía de un 350%. El ciclo CNO se encuentra fuertemente concentrado en el núcleo de la estrella, siendo un 90% de los ciclos producido en el 15% de la masa de la estrella.[22] Esto genera un flujo hacia el exterior tan intenso que la energía transferida por convección gana importancia frente a la energía transferida por radiación. Como resultado, la región del núcleo se convierte en una zona de convección que remueve la zona de fusión de hidrógeno y la mantiene bien entremezclada con el entorno más rico en protones .[23] Este núcleo convectivo se encuentra en estrellas en las cuales el ciclo CNO contribuye a la producción total de energía con más de un 20%. A medida que la edad de la estrella y la temperatura del núcleo aumentan, la región ocupada por la zona de convección disminuye desde el 20 % de la masa hasta el 8% de la masa en el interior de la estrella.[22] Nuestro Sol obtiene solo un 1% de su energía a través de este ciclo.[24] El tipo de mecanismo de fusión del hidrógeno que domina en una estrella viene determinado por la dependencia en la diferencia de temperatura entre ambas reacciones. La cadena protón-protón empieza a temperaturas en torno a 4×106 K,[25] siendo por lo tanto el proceso de fusión dominante en las estrellas pequeñas. Un ciclo CNO que se automantenga requiere de temperaturas más altas, del orden de 16x10^6K, pero a partir de esas temperaturas su eficiencia se incrementa rápidamente a medida que ésta crece, al igual que la de la cadena protón-protón.[26] Por encima de temperaturas de unos 17×106 K, el ciclo CNO se convierte en la fuente principal de energía. Esta temperatura se alcanza para estrellas 1.3 veces más masivas que el Sol.[27] El Sol, de hecho, tiene una núcleo a una temperatura en torno a los 15.7×106 K.[28] Como estrella de la secuencia principal, a medida que envejezca, la temperatura de su núcleo aumentara, y con ella el ciclo CNO aumentará su contribución en la producción de energía.[22]
Fusión del helio
Las estrellas de la secuencia principal acumulan el helio en sus núcleos debido a la fusión de hidrógeno, pero el núcleo no se encuentra lo suficientemente caliente como para proceder a su fusión. La fusión del helio comienza a medida que la estrella abandona la rama de gigantes rojas, tras acumular el suficiente helio en su núcleo como para quemarlo. En estrellas con masa similar a la del Sol, comienza en el extremo de la rama de gigantes rojas con un flash de helio provocado por el núcleo de helio degenerado. La estrella se mueve a la rama horizontal, donde comienza a quemar helio en su núcleo. Por otra parte, las estrellas más masivas fusionan helio en sus núcleos sin un flash de éste, y realizan en cambio un bucle azul antes de alcanzar la rama asintótica gigante. Una consecuencia importante de las estrellas que sufren este bucle azul es que dan lugar a las clásicas estrellas Cefeidas variables, de gran importancia a la hora de determinar distancias dentro de la Vía Láctea y de galaxias cercanas.[29] Estas estrellas fusionan helio hasta que el núcleo queda reducido a carbono y oxígeno prácticamente. La mayor parte de las estrellas masivas se convierten en supergigantes cuando abandonan la secuencia principal y comienzan a fusionar helio rápidamente según se van convirtiendo en supergigantes rojas. Una vez el helio se ha consumido en el núcleo, continuará en una corteza en torno al núcleo de carbono y oxígeno.[18][21]
Independientemente del caso, el helio se fusiona en carbono por la vía del proceso triple-alfa, es decir, tres núcleos de helio se transforman en carbono vía 8Be.[30] Esto puede posteriormente producir oxígeno, neón y elementos más pesados vía proceso alfa. De esta forma, los procesos alfa producen preferencialmente elementos con número par de protones debido a la captura de núcleos de helio. Los elementos con número impar de protones se forman mediante diferentes caminos de fusión.
Quema de metales

Si al agotarse el helio en el núcleo de la estrella, la masa de la estrella es lo suficientemente grande, el núcleo será capaz de comprimirse y calentarse lo suficiente como para emprender la fase siguiente de fusión del carbono. Habrá pues dos nuevas capas de fusión, una de helio y otra de hidrógeno encima de esta. Tal y como ocurría en la transformación a supergigante roja, ahora la presión ejercida por esas nuevas capas hará que la cubierta externa de la estrella se expanda otra vez. Las masas mínimas para estos procesos no están bien determinadas, ya que se desconocen bastante los ritmos de reacción, las secciones eficaces y los ritmos de expulsión de masa por viento solar de las estrellas más masivas. El inicio de las reacciones del carbono se sitúan indicativamente en un mínimo de 8 masas solares, pero podría producirse a menores masas. Se puede asegurar que con esa masa se llega a quemar el carbono, pero el mínimo real quizá estuviese entre 4 y 8. Por lo que respecta a los demás ciclos aquí los datos son todavía más inciertos aunque se puede afirmar que una estrella de más de 12 veces la masa del Sol debería pasar por todas las fases de combustión posible hasta llegar al hierro. A medida que se suman fases de combustión se añaden más capas de fusión formando una especie de núcleo con estructura de cebolla. Deberían producirse cambios a cada fase, pero la del carbono es la última que dura un tiempo significativo por lo que las demás etapas de combustión no cambian excesivamente la constitución de la estrella porque ocurren tan rápido que no da tiempo a la estrella a adaptarse a cada nueva situación. Así, la etapa de supergigante roja es, realmente, la última transformación significativa, tras ella, y en posteriores fases de combustión, la estrella se volverá cada vez más inestable convirtiéndose, muy probablemente, en una variable antes de su destino final como objeto compacto.
Combustión del carbono ( > 8 MSol )

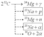
Terminada la fusión del helio el núcleo vuelve a comprimirse y a elevar su temperatura. De los tres elementos que mayoritariamente componen el núcleo en este estadio, carbono y oxígeno en un 90% más un poco de neón, es el carbono el que tiene la temperatura de fusión más baja, unos 500 millones de grados (> 5×108 K o 50 keV). Llegados a esta temperatura y a una densidad de unos (> 3×109 kg/m³),[31] los átomos de carbono empiezan a reaccionar entre sí dando lugar diversos elementos más pesados a través de una serie de canales de salida distintos. La duración de esta etapa será del orden de unos cientos de años pudiendo llegar a los 1000 años. Las reacciones más probables son las que salen recuadradas en el diagrama. La del sodio-23 tiene un 56 % de ocurrencia y la del neón-20 un 44 %. Los protones y las partículas alfa emitidas en sendas reacciones serán rápidamente recapturados por el carbono, el oxígeno, el neón y el propio sodio. Estas reabsorciones apenas si tienen efectos energéticos significativos pero en cuanto a la nucleosíntesis sí lo son ya que harán que el sodio no esté presente entre los elementos residuales de la combustión del carbono. Por lo que respecta al oxígeno, si bien se forma bastante poco se suma al que ya se había formado durante el proceso triple alfa. Todo esto hará que quede un núcleo de oxígeno-16, neón-20, magnesio-24 y algunas trazas de silicio-28. La composición de las cenizas de esta etapa es fundamentalmente la siguiente:
Fracciones de masa:
Fotodesintegración y combustión del neón
Terminado el carbono del núcleo central este vuelve a contraerse hasta llegar a la temperatura de 1,2·109 K, momento en el cual vuelve a detenerse el colapso durante unos pocos años, una década a lo sumo. A esas temperaturas los fotones radiados por el centro del núcleo son tan energéticos que logran fotodesintegrar el neón-20. Este proceso aunque es endotérmico (consume energía) consigue que de sus subproductos se derive otra reacción que sí es exotérmica. El balance global de ambos procesos es positivo y el resultado es que la estrella logra sostenerse mientras quede neón por fotodesintegrar y fusionar en el núcleo.
Como se ve en las reacciones adjuntas, las cenizas de esta fase serán las mismas que en la anterior menos el neón que se habrá consumido. Se incrementará la cantidad de oxígeno y magnesio a la vez que siguen creándose nuevas capas de fusión. Ahora, aparte del núcleo de combustión de neón hay una capa de carbono, otra de helio y una de hidrógeno. Los vientos solares son ya muy intensos y desprenden grandes cantidades del hidrógeno más externo poco ligado ya a la estrella.
Combustión del oxígeno

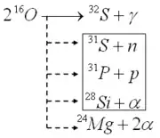
Finalizada la etapa del neón el núcleo de la estrella se vuelve a calentar y contraer hasta 1,5 a 2·109 K y 107 g/cm³ temperatura y densidad a partir de las cuales se alcanza la ignición del oxígeno. La reacción de fusión nuclear del oxígeno produce diversos canales de salida, unos más probables que otros, del mismo modo que ocurría en la fusión del carbono. La etapa dura unos pocos meses, quizá un año, y sus cenizas son sobre todo silicio-28 acompañado de silicio-30, azufre-34, calcio-42 y titanio-46. Muchos de estos elementos son subproductos de las reacciones con protones, neutrones o alfas recapturados. Las tres reacciones más probables son las que están recuadradas. Resultará azufre-31 un 18 % de las veces fósforo-31 un 61 % y silicio-28 un 21 %.

Fotodesintegración y combustión del silicio
Cuando el núcleo alcanza los 2,7·109 K y 3·107 g/cm³ se procede a la incineración del silicio en un conjunto de complejas reacciones que sostendrán por poco más de un día a la estrella. Una parte del silicio-28 recibe el impacto de fotones ultraenergéticos que lo rompen en otros isótopos como silicio-27 o magnesio-24. En el proceso se reemiten gran cantidad de protones, neutrones y alfas que enseguida son recapturados cada vez por átomos más pesados en una aproximación asintótica hacia el pico del hierro. Asimismo, el silicio también alcanza temperaturas de fusión que lo llevan a formar níquel-56 que posteriormente se degrada hasta el hierro-56, elemento final a partir del cual la fusión nuclear deja de ser una reacción rentable y exotérmica, alcanzándose finalmente el equilibrio estadístico nuclear (Fe56+Ni56). Llegados a este punto la ya muy convulsa estrella no podrá sostenerse más por sí misma.
Ratio de reacción
La densidad de ratio de reacción entre dos especies A y B, las cuales tienen densidades nA,B viene dado por:
Donde k es la constante del ratio de reacción de cada par de elementos involucrados en el proceso de fusión nuclear:
Donde σ(v) es la sección eficaz para una velocidad relativa v y el promedio se realiza sobre todas las velocidades.
De forma semiclásica, la sección eficaz es proporcional a , donde es la longitud de onda de De Broglie. Por lo tanto, la sección eficaz semiclásica es proporcional a .
Sin embargo, como la sección eficaz incluye una probabilidad de túnel cuántico, hay un factor de amortiguamiento exponencial para bajas energías que depende del factor de Gamow , dando lugar a una ecuación de Arrhenius:
Donde S(E) depende de detalles concernientes a la respectiva interacción nuclear, y tiene la dimensión de una energía multiplicada por una sección eficaz.
Una vez integrado sobre todas las energías para obtener el ratio total de interacción, utilizando la distribución de Maxwell-Boltzmann y la relación:
donde es la masa reducida.
Como la integral tiene un término de amortiguamiento exponencial para altas energías de la forma y para bajas energías con el factor de Gamow, podemos considerar la integral sólo en torno al pico, el conocido como pico de Gamow:[32]
Por lo tanto_
El exponente se puede aproximar en torno a como:
Y el ratio de reacción queda aproximadamente como:[33]
Los valores de son típicamente de 10−3 – 103 keV·b, pero están amortiguados por un factor enorme cuando se tiene en cuenta un decaimiento beta, debido a la relación entre la semivida del estado ligado intermediario y la semivida del decaimiento beta, como en la cadena de reacción protón-protón. Notar que las temperaturas típicas de un núcleo de estrellas pertenecientes a la secuencia principal dan un valor de kT del orden de keV.[34]
De esta forma, la reacción límite en un ciclo CNO, con captura de protón del , tiene S(E0) ~ S(0) = 3.5 keV·b, mientras que la reacción límite de una cadena protón-protón, donde se crea deuterio utilizando dos protones, tiene un S(E0) ~ S(0) = 4×10−22 keV·b,[35][36] mucho más bajo. De hecho, dado que las reacciones de formación que se encuentran dentro del núcleo de las estrellas tienen un factor de Gamow mucho mayor, y debido a la abundancia relativa de elementos en estrellas típicas, los dos ratios de reacción son iguales en el rango de temperaturas del núcleo de las estrellas de la secuencia principal.
Referencias
- «Formación de los elementos.». Wikispaces. Archivado desde el original el 28 de octubre de 2014. Consultado el 27 de diciembre de 2017. «En el interior de las estrellas, que son enormes masas de gases, sobre todo de hidrógeno, la grandes presiones y temperaturas hacen que se produzcan reacciones termonucleares de fusión de estos átomos que originan los elementos químicos: helio, carbono, y todos los elementos de la tabla periódica más ligeros que el Hierro. Este proceso se llama nucleosíntesis estelar.»
- Hoyle, F. (1 de octubre de 1946). «The Synthesis of the Elements from Hydrogen». Monthly Notices of the Royal Astronomical Society (en inglés) 106 (5): 343-383. Bibcode:1946MNRAS.106..343H. ISSN 0035-8711. doi:10.1093/mnras/106.5.343. Consultado el 3 de diciembre de 2021.
- Hoyle, F. (1954-09). «On Nuclear Reactions Occuring in Very Hot STARS.I. the Synthesis of Elements from Carbon to Nickel.». The Astrophysical Journal Supplement Series (en inglés) 1: 121. Bibcode:1954ApJS....1..121H. ISSN 0067-0049. doi:10.1086/190005. Consultado el 3 de diciembre de 2021.
- Burbidge, E. Margaret; Burbidge, G. R.; Fowler, William A.; Hoyle, F. (1 de octubre de 1957). «Synthesis of the Elements in Stars». Reviews of Modern Physics (en inglés) 29 (4): 547-650. Bibcode:1957RvMP...29..547B. ISSN 0034-6861. doi:10.1103/RevModPhys.29.547. Consultado el 3 de diciembre de 2021.
- «Historia de la energía en el universo». Wikispaces. Archivado desde el original el 27 de diciembre de 2017. Consultado el 27 de diciembre de 2017. «Mientras haya hidrógeno se producirá la fusión de núcleos de hidrógeno para formar núcleos de helio y esas reacciones nucleares aguantarán la presión gravitatoria de las capas externas de la estrella: el centro de la estrella aguantará.»
- Eddington, A. S. (10 de septiembre de 1920). «The Internal Constitution of the Stars». The Observatory 43 (1341): 341-358. Bibcode:1920Obs....43..341E. ISSN 0036-8075. PMID 17747682. doi:10.1126/science.52.1341.233. Consultado el 3 de diciembre de 2021.
- EDDINGTON, A. S. (1920-09). «The Internal Constitution of the Stars». Nature 106 (2653): 233-240. Bibcode:1920Natur.106...14E. ISSN 0028-0836. PMID 17747682. doi:10.1038/106014a0. Consultado el 3 de diciembre de 2021.
- Selle, D. (Octubre 2012). «Why the Stars Shine» (PDF). Guidestar, Houston Astronomical Society: 6-8.
- Krane, K.S. (1983). Modern Physics. p. 410.
- Bethe, H. A. (1 de marzo de 1939). «Energy Production in Stars». Physical Review 55 (5): 434-456. Bibcode:1939PhRv...55..434B. ISSN 0031-899X. PMID 17835673. doi:10.1103/physrev.55.434. Consultado el 3 de diciembre de 2021.
- Lang, Kenneth R. (2013). The life and death of stars. Cambridge University Press. p. 117. ISBN 978-1-139-61222-7. OCLC 823230368. Consultado el 3 de diciembre de 2021.
- Clayton, Donald D. (21 de diciembre de 2007). «Hoyle's Equation». Science 318 (5858): 1876-1877. ISSN 0036-8075. PMID 18096793. doi:10.1126/science.1151167. Consultado el 3 de diciembre de 2021.
- Clayton, D.D; Fowler, W.A; Hull, T.E; Zimmerman, B.A (1961-03). «Neutron capture chains in heavy element synthesis». Annals of Physics 12 (3): 331-408. Bibcode:1961AnPhy..12..331C. ISSN 0003-4916. doi:10.1016/0003-4916(61)90067-7. Consultado el 3 de diciembre de 2021.
- Seeger, Philip A.; Fowler, William A.; Clayton, Donald D. (1965-02). «Nucleosynthesis of Heavy Elements by Neutron Capture.». The Astrophysical Journal Supplement Series 11: 121. Bibcode:1965ApJS...11..121S. ISSN 0067-0049. doi:10.1086/190111. Consultado el 3 de diciembre de 2021.
- Bodansky, David; Clayton, Donald D.; Fowler, William A. (22 de enero de 1968). «Nucleosynthesis During Silicon Burning». Physical Review Letters 20 (4): 161-164. Bibcode:1968PhRvL..20..161B. ISSN 0031-9007. doi:10.1103/physrevlett.20.161. Consultado el 3 de diciembre de 2021.
- Bodansky, David; Clayton, Donald D.; Fowler, William A. (1968-11). «Nuclear Quasi-Equilibrium during Silicon Burning». The Astrophysical Journal Supplement Series 16: 299. Bibcode:1968ApJS...16..299B. ISSN 0067-0049. doi:10.1086/190176. Consultado el 3 de diciembre de 2021.
- Clayton, Donald D. (1964-02). «Cosmoradiogenic Chronologies of Nucleosynthesis.». The Astrophysical Journal 139: 637. Bibcode:Bibcode:1964ApJ...139..637C. ISSN 0004-637X. doi:10.1086/147791. Consultado el 3 de diciembre de 2021.
- Jones, Lauren V. (2009). Stars and galaxies. Greenwood guides to the universe. ABC-CLIO. p. 65-67.
- Böhm-Vitense, Erika (16 de enero de 1992). Introduction to Stellar Astrophysics 3. Cambridge University Press. p. 93-100. ISBN 978-0-521-34871-3. Consultado el 3 de diciembre de 2021.
- Reiners, A.; Basri, G. (2009). «On the magnetic topology of partially and fully convective stars». Astronomy & Astrophysics 496 (3): 787-790. Bibcode:2009A&A...496..787R. ISSN 0004-6361. doi:10.1051/0004-6361:200811450. Consultado el 3 de diciembre de 2021.
- Doom, C.; de Loore, Camiel W. H. (1992). Structure and evolution of single and binary stars 179. Astrophysics and space science library. p. 200-214. ISBN 0-7923-1768-8. OCLC 25711985. Consultado el 3 de diciembre de 2021.
- Jeffrey, C. Simon (2010). Principles and Perspective in Cosmochemistry 16. Astrophysics and Space Science Proceedings. pp. 64-66. Bibcode:2010ASSP...16.....G. ISBN 978-3-642-10368-1. doi:10.1007/978-3-642-10352-0.
- Karttunen, Hannu, ed. (2007). Fundamental Astronomy. doi:10.1007/978-3-540-34144-4. Consultado el 3 de diciembre de 2021.
- «Neutrinos yield first experimental evidence of catalyzed fusion dominant in many stars».
- Reid, I. Neill; Hawley, Suzanne L. (2005). New light on dark stars: red dwarfs, low-mass stars, brown dwarfs. Springer London. p. 108. ISBN 978-3-540-25124-8.
- Salaris, Maurizio; Cassisi, Santi (14 de octubre de 2005). Evolution of Stars and Stellar Populations. doi:10.1002/0470033452. Consultado el 3 de diciembre de 2021.
- Schuler, Simon C.; King, Jeremy R.; The, Lih-Sin (27 de julio de 2009). «STELLAR NUCLEOSYNTHESIS IN THE HYADES OPEN CLUSTER». The Astrophysical Journal 701 (1): 837-849. ISSN 0004-637X. doi:10.1088/0004-637x/701/1/837. Consultado el 3 de diciembre de 2021.
- Wolf, E. L. (23 de agosto de 2018). «Physics and Technology of Sustainable Energy». Oxford Scholarship Online. doi:10.1093/oso/9780198769804.001.0001. Consultado el 3 de diciembre de 2021.
- Karttunen, Hannu, ed. (1987). Fundamental Astronomy. p. 250. doi:10.1007/978-1-4612-3160-8. Consultado el 4 de diciembre de 2021.
- Rehder, Dieter (2 de agosto de 2010). Chemistry in Space. Wiley. p. 30. ISBN 978-3-527-32689-1. Consultado el 4 de diciembre de 2021.
- Ryan, Sean G.; Norton, Andrew J. (2010). Stellar Evolution and Nucleosynthesis. Cambridge University Press. p. 135. ISBN 978-0-521-13320-3.
- Iliadis, Christian (26 de mayo de 2015). Nuclear Physics of Stars. p. 185. doi:10.1002/9783527692668. Consultado el 4 de diciembre de 2021.
- University College London astrophysics course: lecture7-Stars. 2017. Archivado desde el original el 15 de enero de 2017. Consultado el 4 de diciembre de 2021.
- Maoz, D. (2007). «3». Astrophysics in a Nutshell.
- Adelberger, Eric G.; Austin, Sam M.; Bahcall, John N.; Balantekin, A. B.; Bogaert, Gilles; Brown, Lowell S.; Buchmann, Lothar; Cecil, F. Edward et al. (1 de octubre de 1998). «Solar fusion cross sections». Reviews of Modern Physics 70 (4): 1265-1291. Bibcode:1998RvMP...70.1265A. ISSN 0034-6861. doi:10.1103/revmodphys.70.1265. Consultado el 4 de diciembre de 2021.
- Adelberger, E. G.; García, A.; Robertson, R. G. Hamish; Snover, K. A.; Balantekin, A. B.; Heeger, K.; Ramsey-Musolf, M. J.; Bemmerer, D. et al. (12 de abril de 2011). «Solar fusion cross sections. II. Theppchain and CNO cycles». Reviews of Modern Physics 83 (1): 195-245. ISSN 0034-6861. doi:10.1103/revmodphys.83.195. Consultado el 4 de diciembre de 2021.