Reacción de Lehmstedt-Tanasescu
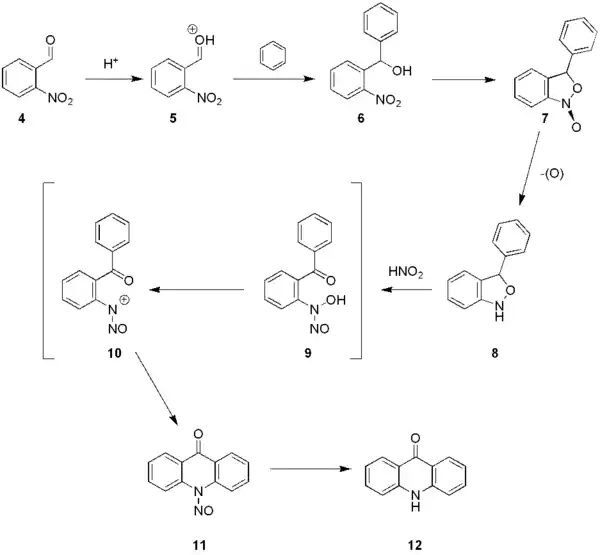
La reacción de Lehmstedt-Tanasescu es un método de síntesis orgánica para preparar derivados de la acridona (3) a partir de 2-nitrobenzaldehído (1) y un areno (2) en presencia de nitrito de sodio y ácido sulfúrico:[1][2][3][4][5]

The Lehmstedt-Tanasescu reaction
La reacción debe su nombre al químico alemán Kurt Lehmstedt y el químico rumano Ioan Tănăsescu.
Mecanismo
En el primer paso del mecanismo, la molécula de 2-nitrobenzaldehído 4 se protona al intermediario 5, seguido por un ataque electrofílico al areno. El diarilmetano resultante 6 cierra el anillo para formar 7 y finalmente el compuesto 8. El tratamiento ácido con nitritos produce la N-nitroso acridona 11 por medio de los intermediarios 9 y 10. El grupo N-nitroso es removido por el ácido en el paso final.

Lehmstedt-Tanasescu reaction
Referencias
- S Yoshida. Design, Synthesis and Characterization of Novel Heterocyclic Polymers (Thesis, McGill University, Montreal (Canadá))
- Ioan Tănăsescu Bull Soc Chim Fr 41 (1927) p528
- Kurt Lehmstedt Chem. Ber. 65 (1932) doi 10.1002/cber.19320650531 834
- Kurt Lehmstedt DE581328 (patent)
- I Silberg. Rev Roum Chim 10 (1965) 1035
Este artículo ha sido escrito por Wikipedia. El texto está disponible bajo la licencia Creative Commons - Atribución - CompartirIgual. Pueden aplicarse cláusulas adicionales a los archivos multimedia.