Conjetura de Firoozbakht
En teoría de números, la conjetura de Firoozbakht[1][2] es una proposición sobre la distribución de los números primos. Lleva el nombre del matemático iraní de la Universidad de Isfahán Farideh Firoozbakht, quien la publicó en 1982.

La conjetura establece que (donde es el n-ésimo número primo) es una función estrictamente decreciente de n, es decir,
Equivalentemente:
Usando una tabla de diferencias máximas, Farideh Firoozbakht verificó su conjetura hasta 4.444×1012.[2] Ahora, con tablas más extensas de diferencias máximas, la conjetura se ha verificado para todos los números primos por debajo de 264≈ 1,84×1019.[3][4]
Si la conjetura fuera cierta, entonces la función diferencia entre dos números primos consecutivos cumpliría:[5]
Es más:[6]
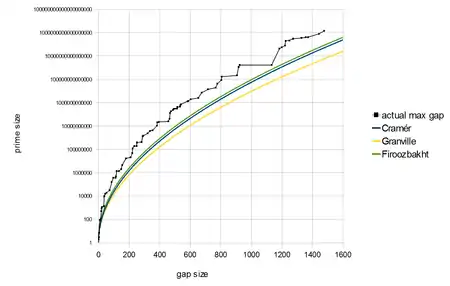
véase también A111943. Este es uno de los límites superiores más fuertes conjeturados para las diferencias entre primos consecutivos, incluso algo más fuertes que las conjeturas de Cramér y Shanks.[4] Implica una forma fuerte de la conjetura de Cramér y por lo tanto es inconsistente con las heurísticas de Granville y Pintz[7][8][9] y de Maier[10][11] que sugieren que
ocurre infinitamente a menudo para cualquier donde denota la constante de Euler-Mascheroni.
Dos conjeturas relacionadas (véanse los comentarios en A182514) son
que es más débil y
que es más fuerte.
Véase también
Referencias
- Ribenboim, Paulo (2004). The Little Book of Bigger Primes Second Edition. Springer-Verlag. p. 185.
- Rivera, Carlos. «Conjecture 30. The Firoozbakht Conjecture». Consultado el 22 de agosto de 2012.
- Gaps between consecutive primes
- Kourbatov, Alexei. «Prime Gaps: Firoozbakht Conjecture».
- Sinha, Nilotpal Kanti (2010), On a new property of primes that leads to a generalization of Cramer's conjecture, pp. 1-10, Bibcode:2010arXiv1010.1399K, arXiv:1010.1399..
- Kourbatov, Alexei (2015), «Upper bounds for prime gaps related to Firoozbakht’s conjecture», Journal of Integer Sequences 18 (Article 15.11.2), Bibcode:2015arXiv150603042K, MR 3436186, Zbl 1390.11105, arXiv:1506.03042..
- Granville, A. (1995), «Harald Cramér and the distribution of prime numbers», Scandinavian Actuarial Journal 1: 12-28, MR 1349149, Zbl 0833.01018, archivado desde el original el 2 de mayo de 2016, consultado el 24 de octubre de 2022..
- Granville, Andrew (1995), «Unexpected irregularities in the distribution of prime numbers», Proceedings of the International Congress of Mathematicians 1: 388-399, Zbl 0843.11043..
- Pintz, János (2007), «Cramér vs. Cramér: On Cramér's probabilistic model for primes», Funct. Approx. Comment. Math. 37 (2): 232-471, MR 2363833, Zbl 1226.11096.
- Leonard Adleman and Kevin McCurley, "Open Problems in Number Theoretic Complexity, II" (PS), Algorithmic number theory (Ithaca, NY, 1994), Lecture Notes in Comput. Sci. 877: 291–322, Springer, Berlin, 1994. doi 10.1007/3-540-58691-1_70. CiteSeerX: 10.1.1.48.4877. ISBN 978-3-540-58691-3.
- Maier, Helmut (1985), «Primes in short intervals», The Michigan Mathematical Journal 32 (2): 221-225, ISSN 0026-2285, MR 783576, Zbl 0569.10023, doi:10.1307/mmj/1029003189.
Bibliografía
- Ribenboim, Paulo (2004). The Little Book of Bigger Primes Second Edition. Springer-Verlag. ISBN 0-387-20169-6.
- Riesel, Hans (1985). Prime Numbers and Computer Methods for Factorization, Second Edition. Birkhauser. ISBN 3-7643-3291-3.