Escalado (geometría)

En geometría euclidiana, el escalado uniforme (o escalado isótropo[1]) es una aplicación lineal que aumenta (incrementa) o contrae (disminuye) el tamaño de distintas entidades (como formas o figuras geométricas) mediante un factor de escala que es el mismo en todas direcciones. El resultado de un escalado uniforme es una relación de semejanza (en el sentido geométrico) entre la figura original y su imagen. Normalmente también se consideran como aplicaciones de escalado las que poseen factor de escala 1, por lo que las formas congruentes también se clasifican como semejantes. El escalado uniforme ocurre, por ejemplo, al ampliar o reducir una fotografía, o al crear una maqueta de un edificio, automóvil, avión, etc.

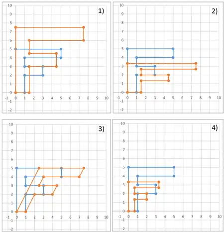
Distintos tipos de escalado de la forma azul, producen las diferentes formas de color naranja: 1) Aumento uniforme 2) Aplanamiento 3) Cizallamiento 4) Reducción uniforme

De forma más general, también se habla de escalado no uniforme (escalado anisótropo), aquel que se obtiene cuando al menos uno de los factores de escala aplicados a cada eje coordenado es diferente de los demás; un caso especial es el escalado direccional, cizallamiento, estiramiento o extrusión (en una dirección). La escala no uniforme cambia la forma del objeto; por ejemplo, un cuadrado puede transformarse en un rectángulo o en un paralelogramo si los lados del cuadrado no son paralelos a los ejes de escala (los ángulos entre líneas paralelas a los ejes se conservan, pero no todos los ángulos). Ocurre, por ejemplo, cuando se ve un cartel lejano desde un ángulo lateral, o cuando la sombra de un objeto plano cae sobre una superficie que no es paralela a él.

Cuando el factor de escala es mayor que 1, el escalado (uniforme o no uniforme) a veces también se denomina dilatación o ampliación. Cuando el factor de escala es un número positivo menor que 1, el escalado a veces también se llama contracción.

En el sentido más general, una escala incluye el caso en el que las direcciones de escalamiento no son perpendiculares. También incluye el caso en el que uno o más factores de escala son iguales a cero (como en algunos casos de proyecciones), y el caso de uno o más factores de escala negativos (una escala direccional por -1 es equivalente a una reflexión).

El escalado es una aplicación lineal y un caso especial de homotecia. En la mayoría de los casos, las transformaciones homotéticas son transformaciones no lineales.

Representación matricial

Un escalado puede ser representado por una matriz de escala. Para escalar un objeto por un vector v = (vx, vy, vz), cada punto p = (px, py, pz) tiene que ser multiplicado por esta matriz de escalado:

Como se muestra a continuación, la multiplicación dará el resultado siguiente:

Tal escalamiento cambia el diámetro de un objeto en una proporción situada entre los factores de escala, el área por un factor igual al producto del más pequeño y del más grande de los factores de escala, y el volumen por el producto de los tres.

La escala es uniforme si y solo si los factores de escala son iguales (vx = vy = vz). Si todos menos uno de los factores de escala son iguales a 1, se tiene un escalado direccional.

En el caso de que vx = vy = vz = k, la escala aumenta el área de cualquier superficie por un factor de k2 y el volumen de cualquier objeto sólido por un factor de k3.

Escalado en dimensiones arbitrarias

En el espacio -dimensional , el escalado uniforme por un factor se realiza mediante multiplicación escalar con , es decir, multiplicando cada coordenada de cada punto por . Como un caso especial de transformación lineal, también se puede conseguir multiplicando cada punto (visto como un vector columna) por una matriz diagonal cuyas entradas en la diagonal son todas iguales a , es decir, .

El escalado no uniforme se logra multiplicando por cualquier matriz simétrica. Los autovalores de la matriz son los factores de escala, y los autovectores correspondientes son los ejes en los que se aplica cada factor de escala. Un caso especial es una matriz diagonal, con números arbitrarios en la diagonal: los ejes de escalado son entonces los ejes de coordenadas, y la transformación se escala en cada eje por el factor .

En el escalado uniforme con un factor de escala distinto de cero, todos los vectores distintos de cero conservan su dirección (como se ven desde el origen), o todos tienen la dirección invertida, dependiendo del signo del factor de escala. En el escalado no uniforme, solo los vectores orientados como alguno de los autovectores (coincidentes con los ejes principales del escalado) conservarán su dirección. Un vector que sea la suma de dos o más vectores distintos de cero que pertenecen a diferentes ejes principales, tenderá a inclinarse hacia el autovector con el autovalor más grande.

Usando coordenadas homogéneas

En geometría proyectiva, a menudo utilizada en computación gráfica, los puntos se representan utilizando coordenadas homogéneas. Para escalar un objeto mediante un vector v = (vx, vy, vz), cada vector de coordenadas homogéneas p = (px, py, pz, 1) debe ser multiplicado por esta matriz de homografía:

Como se muestra a continuación, la multiplicación dará el resultado siguiente:

Como el último componente de una coordenada homogénea se puede ver como el denominador de los otros tres componentes, se puede lograr una escala uniforme por un factor común s (escalado uniforme) utilizando esta matriz de escala:

Para cada vector p = (px, py, pz, 1), se tendría

que sería equivalente a

Función de dilatación y contracción

Dado un punto , una dilatación lo asocia con el punto a través de las ecuaciones para

Por lo tanto, dada una función , la ecuación de la función de dilatación es

Casos particulares

Si , la transformación es horizontal; cuando es una dilatación, cuando es una contracción.

Si , la transformación es vertical; cuando es una dilatación, cuando es una contracción.

Referencias

  1. Durand; Cutler. «Transformations» (PowerPoint). Massachusetts Institute of Technology. Consultado el 12 de septiembre de 2008.

Véase también

Enlaces externos

Este artículo ha sido escrito por Wikipedia. El texto está disponible bajo la licencia Creative Commons - Atribución - CompartirIgual. Pueden aplicarse cláusulas adicionales a los archivos multimedia.