Idosa
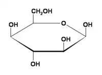
La idosa es un monosacárido de seis carbonos con un grupo aldehído por lo que pertenece al grupo de las aldosas y dentro de este al de las aldohexosas. Forma parte de los azúcares que componen algunos glucosaminoglucanos como el dermatán sulfato y el heparán sulfato, importantes componentes de la matriz extracelular. El primer y tercer grupo hidroxilo se disponen en una posición opuesta a los hidroxilos de las posiciones segunda y cuarta. La idosa se puede obtener por condensación aldólica de D- y L-gliceraldehído. La L-idosa es un epímero de la D-glucosa.
| Idosa | |
|---|---|
![]() Molécula de β-D-Idopiranosa. | |
| Nombre químico | 6-(hidroximetil)oxano-2,3,4,5-tetrol |
| Abreviatura | Ido |
| Fórmula química | C6H12O6 |
| Masa molecular | 180.16 g mol−1 |
| Densidad | 1.54 g cm−3 |
| Número CAS | [2152-76-3] |
Referencias
- Merck Index, 11th Edition, 4818.
Este artículo ha sido escrito por Wikipedia. El texto está disponible bajo la licencia Creative Commons - Atribución - CompartirIgual. Pueden aplicarse cláusulas adicionales a los archivos multimedia.
