Monosacárido
Los monosacáridos (del griego monos: único, sacchar: azúcar), también llamados azúcares simples, son las formas más simples de azúcar y las unidades más básicas (monómeros) a partir de las cuales se construyen todos los carbohidratos.[1][2]
Suelen ser sólidos incoloros, solubles en agua y cristalinos. A pesar de su nombre coloquial (azúcares), solo algunos monosacáridos tienen un sabor dulce. La mayoría de los monosacáridos tienen la fórmula C
nH
2nO
n (aunque no todas las moléculas con esta fórmula son monosacáridos).
Ejemplos de monosacáridos incluyen glucosa (dextrosa), fructosa (levulosa) y galactosa. Los monosacáridos son los componentes básicos de los disacáridos (como la sacarosa y la lactosa) y los polisacáridos (como la celulosa y el almidón). El azúcar de mesa que se usa en la lengua común es la sacarosa (disacárido) que comprende una molécula de D-glucosa y una de D-fructosa.[2]
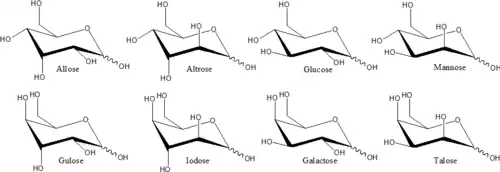
Cada átomo de carbono que soporta un grupo hidroxilo es quiral, excepto los que se encuentran al final de la cadena. Esto da lugar a una serie de formas isoméricas, todas con la misma fórmula química. Por ejemplo, la galactosa y la glucosa son aldohexosas, pero tienen estructuras físicas y propiedades químicas diferentes.
La glucosa monosacárido juega un papel fundamental en el metabolismo, donde la energía química se extrae a través de la glucólisis y el Ciclo de Krebs.
Estructura y nomenclatura
Con pocas excepciones (por ejemplo la desoxirribosa), los monosacáridos tienen esta fórmula química: (CH2O)x, donde convencionalmente x≥3. Los monosacáridos se pueden clasificar por el número x de átomos de carbono que contienen: triosa (3), tetrosa (4), pentosa (5), hexosa (6), heptosa (7), etc.

La glucosa, utilizada como fuente de energía y para la síntesis de almidón, glucógeno y celulosa, es una hexosa. La ribosa y la desoxirribosa (en ARN y ADN, respectivamente) son azúcares de pentosa. Ejemplos de heptosas incluyen cetosas, manoheptulosa y sedoheptulosa. Rara vez se observan monosacáridos con ocho o más carbonos, ya que son bastante inestables. En soluciones acuosas, los monosacáridos existen como anillos si tienen más de cuatro carbonos.
Monosacáridos de cadena lineal
Los monosacáridos simples tienen un esqueleto de carbono lineal y no ramificado con un grupo funcional carbonilo (C=O) y un grupo hidroxilo (OH) en los carbono restantes. Por lo tanto, la estructura molecular de un monosacárido simple puede escribirse como H(CHOH)n (C=O)(CHOH)mH, donde n + 1 + m = x; de modo que su fórmula elemental es CxH2xOx. Por convención, los átomos de carbono se numeran del 1 al x a lo largo del esqueleto, comenzando por el extremo más cercano al grupo C=O. Si el carbonilo está en la posición 1 (es decir, n o m es cero), la molécula comienza con un grupo formilo H(C=O)− y técnicamente es un aldehído. En ese caso se denomina aldosa. De lo contrario, tiene un grupo cetona −(C=O)−; entonces es formalmente una cetona, y se denomina cetosa. Las cetosas de interés biológico suelen tener el carbonilo en la posición 2. Una nomenclatura más general para monosacáridos de cadena abierta combina un prefijo griego para indicar el número de carbonos (tri-, tetr-, pent-, hex-, etc.) con los sufijos "-osa" para aldosas y "-ulosa" para cetosas.[1] En este último caso, si el carbonilo no está en la posición 2, su posición se indica mediante un infijo numérico. Entonces, por ejemplo, H(C=O)(CHOH)4H es pentosa, H(CHOH)(C=O)(CHOH)3H es pentulosa y H(CHOH)2(C=O)(CHOH)2H es pent-3-ulosa.
Estereoisómeros de cadena abierta
Dos monosacáridos con gráficos moleculares equivalentes (misma longitud de cadena y misma posición de carbonilo) aún pueden ser estereoisómeros distintos, cuyas moléculas difieren en la orientación espacial. Esto sucede solo si la molécula contiene un estereocentro, específicamente un átomo de carbono que es quiral (conectado a cuatro subestructuras moleculares distintas). Esos cuatro enlaces pueden tener cualquiera de las dos configuraciones en el espacio que se distinguen por su lateralidad. En un monosacárido de cadena abierta simple, todos los carbonos son quirales excepto el primero y el último átomo de la cadena y (en las cetosas) el carbono con el grupo ceto.
Por ejemplo, la tricetosa H(CHOH)(C=O)(CHOH)H (glicerona, dihidroxiacetona) no tiene un centro estereogénico y, por lo tanto, existe como un solo estereoisómero. La otra triosa, la aldosa H(C=O)(CHOH)2H (gliceraldehído), tiene un carbono quiral, el central, el número 2, que está unido a los grupos −H, −OH, −C(OH)H 2 y −(C=O)H. Por lo tanto, existen dos estereoisómeros cuyas moléculas son imágenes especulares entre sí. Los monosacáridos con cuatro o más carbonos pueden contener múltiples carbonos quirales, por lo que suelen tener más de dos estereoisómeros. El número de estereoisómeros distintos con el mismo diagrama está limitado por 2c, donde c es el número total de carbonos quirales.
La proyección de Fischer es una forma sistemática de dibujar la fórmula esqueletal de un monosacárido acíclico para que la lateralidad de cada carbono quiral esté bien especificada. Cada estereoisómero de un monosacárido de cadena abierta simple puede identificarse por las posiciones (derecha o izquierda) en el diagrama de Fischer de los hidroxilos quirales (los hidroxilos unidos a los carbonos quirales). La mayoría de los estereoisómeros son en sí mismos quirales (distintos de sus imágenes especulares). En la proyección de Fischer, dos isómeros de imagen especular se diferencian por tener las posiciones de todos los hidroxilos quirales invertidas de derecha a izquierda. Los isómeros de imagen especular son químicamente idénticos en entornos no quirales, pero por lo general tienen propiedades bioquímicas y ocurrencias naturales muy diferentes.
Si bien la mayoría de los estereoisómeros se pueden organizar en pares de formas de imagen especular, hay algunos estereoisómeros no quirales que son idénticos a sus imágenes especulares, a pesar de tener centros quirales. Esto sucede siempre que el gráfico molecular sea simétrico, como en las 3-cetopentosas H(CHOH)2(CO)(CHOH)2H, y las dos mitades son imágenes especulares entre sí. En ese caso, la duplicación equivale a una rotación de media vuelta. Por esta razón, solo hay tres estereoisómeros de 3-cetopentosa distintos, aunque la molécula tiene dos carbonos quirales.
Los estereoisómeros distintos que no son imágenes especulares entre sí suelen tener diferentes propiedades químicas, incluso en entornos no quirales. Por lo tanto, cada par de espejos y cada estereoisómero no quiral pueden recibir un nombre de monosacárido específico. Por ejemplo, hay 16 estereoisómeros de aldohexosa distintos, pero el nombre "glucosa" significa un par específico de aldohexosas de imagen especular. En la proyección de Fischer, uno de los dos isómeros de glucosa tiene el hidroxilo a la izquierda en C3 ya la derecha en C4 y C5; mientras que el otro isómero tiene el patrón inverso. Estos nombres de monosacáridos específicos tienen abreviaturas convencionales de tres letras, como "Glu" para glucosa y "Thr" para treosa.
Generalmente, un monosacárido con n carbonos asimétricos tiene 2 n estereoisómeros. El número de estereoisómeros de cadena abierta para un monosacárido de aldosa es mayor en uno que el de un monosacárido de cetosa de la misma longitud. Cada cetosa tendrá 2(n −3) estereoisómeros donde n > 2 es el número de carbonos. Cada aldosa tendrá 2 (n −2) estereoisómeros donde n > 2 es el número de carbonos. Estos también se conocen como epímeros que tienen una disposición diferente de los grupos -OH y -H en los átomos de carbono asimétricos o quirales (esto no se aplica a los carbonos que tienen el grupo funcional carbonilo).
Configuración de monosacáridos
Al igual que muchas moléculas quirales, los dos estereoisómeros del gliceraldehído rotarán gradualmente la dirección de polarización de la luz polarizada linealmente a medida que pasa a través de ella, incluso en solución. Los dos estereoisómeros se identifican con los prefijos D y L, según el sentido de giro: D-gliceraldehído es dextrorrotatorio (gira el eje de polarización en el sentido de las agujas del reloj), mientras que L-gliceraldehído es levorrotatorio (lo gira en el sentido contrario a las agujas del reloj).

Los prefijos D y L también se utilizan con otros monosacáridos para distinguir dos estereoisómeros particulares que son imágenes especulares entre sí. Para este propósito, se considera el carbono quiral que está más alejado del grupo C=O. Sus cuatro enlaces deben conectarse con −H, −OH, −C(OH)H y el resto de la molécula. Si la molécula se puede rotar en el espacio de modo que las direcciones de esos cuatro grupos coincidan con las de los grupos análogos en el C2 del D -gliceraldehído, entonces el isómero recibe el prefijo D-. De lo contrario, recibe el prefijo L-.
En la proyección de Fischer, los prefijos D- y L- especifican la configuración en el átomo de carbono que es el segundo desde abajo: D- si el hidroxilo está en el lado derecho, y L- si está en el lado izquierdo. Los prefijos D- y L- no indican la dirección de rotación de la luz polarizada, que es un efecto combinado de la disposición en todos los centros quirales. Sin embargo, los dos enantiómeros siempre rotarán la luz en direcciones opuestas, en la misma cantidad. Véase también sistema D/L.
Ciclación de monosacáridos (formación de hemiacetal)
Un monosacárido a menudo cambia de la forma acíclica (cadena abierta) a una forma cíclica, a través de una reacción de adición nucleófila entre el grupo carbonilo y uno de los grupos hidroxilo de la misma molécula. La reacción crea un anillo de átomos de carbono cerrado por un átomo de oxígeno puente. La molécula resultante tiene un grupo hemiacetal o hemicetal, dependiendo de si la forma lineal era una aldosa o una cetosa. La reacción se invierte fácilmente, dando la forma original de cadena abierta.
En estas formas cíclicas, el anillo suele tener cinco o seis átomos. Estas formas se denominan furanosas y piranosas, respectivamente, por analogía con el furano y el pirano, los compuestos más simples con el mismo anillo carbono-oxígeno (aunque carecen de los dobles enlaces de estas dos moléculas). Por ejemplo, la glucosa aldohexosa puede formar un enlace hemiacetal entre el grupo aldehído en el carbono 1 y el hidroxilo en el carbono 4, dando lugar a una molécula con un anillo de 5 miembros, llamada glucofuranosa. La misma reacción puede tener lugar entre los carbonos 1 y 5 para formar una molécula con un anillo de 6 miembros, llamada glucopiranosa. Las formas cíclicas con un anillo de siete átomos (el mismo del oxepano), que rara vez se encuentran, se denominan heptosas.



En muchos monosacáridos (incluida la glucosa), predominan las formas cíclicas, en estado sólido y en soluciones, y, por lo tanto, se usa comúnmente el mismo nombre para los isómeros de cadena abierta y cerrada. Así, por ejemplo, el término "glucosa" puede significar glucofuranosa, glucopiranosa, la forma de cadena abierta o una mezcla de las tres.
La ciclación crea un nuevo estereocentro en el carbono que contiene carbonilo. El grupo −OH que reemplaza al oxígeno del carbonilo puede terminar en dos posiciones distintas en relación con el plano medio del anillo. Así, cada monosacárido de cadena abierta produce dos isómeros cíclicos (anómeros), indicados por los prefijos α- y β-. La molécula puede cambiar entre estas dos formas mediante un proceso llamado mutarrotación, que consiste en una inversión de la reacción de formación del anillo seguida de la formación de otro anillo.[3]
Proyección de Haworth
La estructura estereoquímica de un monosacárido cíclico se puede representar en una proyección de Haworth. En este diagrama, el isómero α de la forma piranosa de una D-aldohexosa tiene el −OH del carbono anomérico por debajo del plano de los átomos de carbono, mientras que el isómero β tiene el −OH del carbono anomérico por encima del plano. Las piranosas suelen adoptar una conformación de silla, similar a la del ciclohexano. En esta conformación, el isómero α tiene el −OH del carbono anomérico en posición axial, mientras que el isómero β tiene el −OH del carbono anomérico en posición ecuatorial (considerando azúcares D-aldohexosas).
α-D-Glucopiranosa
β-D-Glucopiranosa
Derivados
Existe una gran cantidad de monosacáridos modificados biológicamente importantes:
- Aminoazúcares como:
- Sulfosazúcares como:
- Otros como:
Propiedades físicas y organolépticas
Los monosacáridos (a veces también llamados "osas", por la terminación) tienen un color blanquecino.
Solubilidad
La abundancia de grupos hidroxilo (OH) en su molécula hace que las osas sean muy solubles en agua.
Cristalización
Las soluciones acuosas concentradas de monosacáridos son viscosas. Los jarabes de monosacáridos son muy viscosos (la cristalización es difícil). Esto puede facilitarse mediante la adición de disolventes orgánicos (metanol, etanol, etc.) y en condiciones de calor (presencia de calor) cuando las osas son poco solubles.
Polarimetría
Los monosacáridos tienen un poder rotatorio definido (a excepción de aquellas con un grupo cetona, como la dihidroxiacetona), lo que proporciona una manera de identificación por polarimetría.
Propiedades organolépticas
Algunos moosacáridos tienen un sabor agradablemente dulce, pero es erróneo generalizar sobre esta propiedad porque otros compuestos que no son monosacáridos, como la glicina o el ácido aspártico (del que deriva el edulcorante aspartamo), por ejemplo, tienen también un sabor dulce sin ser azúcares.
Funciones en los seres vivos
Todos los monosacáridos tienen una función energética de proporcionar energía. Esta función es posible gracias a su capacidad de oxidarse, es decir, de perder electrones ante sustancias que al aceptarlos, se reducen. Además, tienen la capacidad de asociarse con grupos amino (-NH₂) para formar aminoglúcidos como, por ejemplo, la glucosamina.
Los monosacáridos pueden unirse entre sí mediante el enlace glicosídico en que el grupo hidroxilo de un monosacárido reacciona con el grupo hidroxilo de otro y se desprende una molécula de agua; de este modo se pueden formar largas cadenas, ramificadas o no, denominadas polisacáridos.
Véase también
Referencias
- «Carbohydrates». Chemistry for Biologists. Royal Society of Chemistry. Consultado el 10 de marzo de 2017.
- Collins, Peter M.; Ferrier, Robert J. (1995). Monosaccharides : their chemistry and their roles in natural products (en inglés). Robert J. Ferrier. Chichester: Wiley & Sons. p. 4. ISBN 0-471-95343-1. OCLC 30894482.
- Pigman, William Ward; Anet, E. F. L. J. (1972). «Chapter 4: Mutarotations and Actions of Acids and Bases». En Pigman and Horton, ed. The Carbohydrates: Chemistry and Biochemistry. 1A (2nd edición). San Diego: Academic Press. pp. 165-194.