Nomenclatura de los monosacáridos
La nomenclatura de los monosacáridos es el sistema de denominación de los componentes básicos de los carbohidratos, los monosacáridos, que pueden ser monómeros o parte de un polímero más grande. Los monosacáridos son subunidades que no pueden hidrolizarse más en unidades más simples. Dependiendo del número de átomos de carbono, se clasifican en triosas, tetrosas, pentosas, hexosas, etc., que se clasifican en aldosas y cetosas según el tipo de grupo funcional presente.[1]
Nombre sistemático del gráfico molecular
La fórmula elemental de un monosacárido simple es CnH2nOn, donde el número entero n es al menos 3 y rara vez mayor que 7. Los monosacáridos simples pueden denominarse genéricamente en función del número de átomos de carbono n: triosas, tetrosas, pentosas, hexosas, etc.
Cada monosacárido simple tiene una forma acíclica (cadena abierta), que se puede escribir como ; es decir, una cadena lineal de átomos de carbono, uno de los cuales es un grupo carbonilo, todos los demás tienen un hidrógeno -H y un hidroxilo -OH cada uno, con un hidrógeno adicional en cada extremo. Los carbonos de la cadena se numeran convencionalmente del 1 al n, comenzando por el extremo más cercano al carbonilo.
Si el carbonilo está al principio de la cadena (carbono 1), se dice que el monosacárido es una aldosa; de lo contrario, es una cetosa. Estos nombres se pueden combinar con el prefijo de longitud de cadena, como en aldohexosa o cetopentosa. La mayoría de las cetosas que se encuentran en la naturaleza tienen el carbonilo en la posición 2; cuando ese no es el caso, se usa un prefijo numérico para indicar la posición del carbonilo. Así, por ejemplo, aldohexosa significa H(C=O)(CHOH)5H, cetopentosa significa H(CHOH)(C=O)(CHOH)3H y 3-cetopentosa significa H(CHOH)2(C=O) (CHOH)2H.
Una nomenclatura alternativa usa el sufijo '-osa' solo para aldosas y '-ulosa' para cetosas. La posición del carbonilo (cuando no es 1 o 2) se indica mediante un infijo numérico. Por ejemplo, hexosa en esta nomenclatura significa H(C=O)(CHOH)5H, pentulosa significa H(CHOH)(C=O)(CHOH)3H y hexa-3-ulosa significa H(CHOH)2(C=O)(CHOH)3H.
Denominación de estereoisómeros acíclicos
Los monosacáridos de cadena abierta con el mismo gráfico molecular pueden existir como dos o más estereoisómeros. La proyección de Fischer es una forma sistemática de dibujar la fórmula esquelética para que cada estereoisómero se identifique de forma única.
Dos isómeros cuyas moléculas son imágenes especulares entre sí se identifican con los prefijos 'D-' o 'L-', según la lateralidad del átomo de carbono quiral más alejado del carbonilo. En la proyección de Fischer, ese es el segundo carbono desde abajo; el prefijo es 'D-' o 'L-' según que el hidroxilo de ese carbono se encuentre a la derecha o a la izquierda del esqueleto.
Si el gráfico molecular es simétrico (H(CHOH) x (CO)(CHOH) x H) y las dos mitades son imágenes especulares entre sí, entonces la molécula es idéntica a su imagen especular y no hay forma 'L-'.
Un nombre común distinto, como "glucosa" o "ribosa", se asigna tradicionalmente a cada par de estereoisómeros de imagen especular, y a cada estereoisómero aquiral. Estos nombres tienen abreviaturas estándar de tres letras, como 'Glc' para glucosa y 'Rib' para ribosa.
Otra nomenclatura usa el nombre sistemático del gráfico molecular, a 'D-' o 'L-' prefijo para indicar la posición del último hidroxilo quiral en el diagrama de Fischer (como arriba), y otro prefijo en cursiva para indicar las posiciones de los hidroxilos restantes en relación con el primero, leído de abajo hacia arriba en el diagrama, omitiendo el grupo ceto si lo hay. Estos prefijos se adjuntan al nombre sistemático del gráfico molecular. Así, por ejemplo, D-glucosa es D-gluco-hexosa, D-ribosa es D-ribo-pentosa, y D-psicosa es D-ribo -hexulosa. En esta nomenclatura, los isómeros de imagen especular difieren solo en el 'D-'/'L-' prefijo, aunque todos sus hidroxilos están invertidos.

Las siguientes tablas muestran las proyecciones de Fischer (en forma de cadena abierta), con sus nombres convencionales. Muestran todas las aldosas con 3 a 6 átomos de carbono y algunas cetosas. Para moléculas quirales, solo se muestra la forma 'D-' (con el penúltimo hidroxilo en el lado derecho); las formas correspondientes tienen estructuras de imagen especular. Algunos de estos monosacáridos solo se preparan sintéticamente en el laboratorio y no se encuentran en la naturaleza.
| Aldotriosas Triosas |
D-Gliceraldehído | |||||||
| Aldotetrosas Tetrosas |
![]() D-Eritrosa eritro- Ery |
![]() D-Treosa treo- Tho | ||||||
| Aldopentosas Pentosas |
![]() D-Ribosa ribo- Rib |
![]() D-Arabinosa arabino- Ara |
![]() D-Xilosa xilo- Xyl |
![]() D-Lixosa lixo- Lyx | ||||
| Aldohexosas Hexosas |
![]() D-Alosa alo- All |
![]() D-Altrosa altro- Alt |
![]() D-Glucosa gluco- Glc |
![]() D-Manosa mano- Man |
![]() D-Gulosa gulo- Gul |
![]() small>D-Idosa ido- Ido |
![]() D-Galactosa galacto- Gal |
![]() D-Talosa talo- Tal |
| Cetotriosas Triulosas |
Glicerona | |||
| Cetotetrosa Tetrulosas |
![]() D-Eritrulosa eritrulo- | |||
| Cetopentosas Pentulosas |
![]() D-Ribulosa ribulo- Rul |
![]() D-Xilulosa xilulo- Xul | ||
| Cetohexosas Hexulosas |
![]() D-Psicosa psico- |
![]() D-Fructosa fructo- Fru |
![]() D-Sorbosa sorbo- Sor |
![]() D-tagatosa tagato- Tag |
| 3-Cetopentosas Penta-3-ulosas |
SYM-3-Cetopentosa | D-UNS-3-Cetopentosa | ||||||
| 3-Cetohexosas Hexa-3-ulosas |
D-RRR-3-Cetohexosa | D-RRL-3-Cetohexosa | D-RLR-3-Cetohexosa | D-RLL-3-Cetohexosa |
D-LRR-3-Cetohexosa | D-LRL-3-Cetohexosa | D-LLR-3-Cetohexosa | D-LLL-3-Cetohexosa |
Formas cílicas
Para los monosacáridos en su forma cíclica, se coloca un infijo antes del sufijo '-osa', '-ulosa' o 'n-ulosa' para especificar el tamaño del anillo. El infijo es "furano" para un anillo de 5 átomos, "pirano" para 6, "septano" para 7, y así sucesivamente.
El cierre del anillo crea otro centro quiral en el carbono anomérico (el que tiene la funcionalidad hemiacetal o acetal) y, por lo tanto, cada estereoisómero de cadena abierta da lugar a dos estereoisómeros distintos (anómeros). Estos se identifican con los prefijos 'α-' y 'β-', que denotan la configuración relativa del carbono anomérico con respecto al estereocentro en el otro extremo de la cadena de carbono. Si la conformación (R o S) es idéntica tanto en el carbono anomérico como en el estereocentro más distante, la configuración es 'α-'. Si las conformaciones son diferentes, la configuración es 'β-' [2]

Glucósidos
Los glucósidos son sacáridos en los que el hidroxilo -OH en el centro anomérico se reemplaza por un grupo con puente de oxígeno -OR. La parte carbohidrato de la molécula se llama glicona, el puente -O- es el oxígeno glucosídico y el grupo unido es la aglicona. Los glucósidos se nombran dando el alcohol aglicónico HOR, seguido del nombre del sacárido con la terminación '-e' reemplazada por '-ido'; como en [[fenol D-glucopiranósido]].


Azúcares modificados
La modificación del azúcar generalmente se realiza reemplazando uno o más grupos –OH con otros grupos funcionales en todas las posiciones, excepto C-1.
Reglas para la nomenclatura de azúcares modificados:
- Indique si el azúcar es un azúcar desoxi, lo que significa que el grupo –OH se reemplaza por H.
- Especifique la posición de desoxigenación.
- Si hay un sustituyente que no sea H en lugar de –OH, especifique cuál es.
- Especifique la configuración relativa de todos los centros estereogénicos (mano, gluco, etc. ).
- Especifique el tamaño del anillo (furanosa, piranosa, etc.) y la configuración anomérica (a o b).
- Indique la longitud de la cadena solo en la situación en la que –OH se reemplaza por H.
- Ordene alfabéticamente todos los grupos sustituyentes (desoxi, -yodo, -amino, etc.). Los prefijos di-, tri- etc. no cuentan.
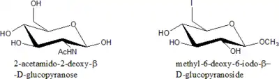
Ejemplos

Azúcares protegidos
Los azúcares en los que el –OH está protegido por alguna modificación se denominan azúcares protegidos.
Reglas para la nomenclatura de azúcares protegidos:
- Especifique el número de grupos protectores particulares (di, tri, tetra, etc.).
- Enumere los grupos alfabéticamente junto con todos los demás sustituyentes (los prefijos di, tri no cuentan).

Véase también
- Conformación de carbohidratos
- Nomenclatura de símbolos para glicanos
- Polisacárido
- Oligosacárido
- Nomenclatura de oligosacáridos
Referencias
- Light, Robley (2001). «General Biochemistry I Summer 2001 Lecture Notes». Archivado desde el original el 29 de junio de 2022.
- Essentials of Glycobiology





















