| Ácido clavulánico | ||
|---|---|---|
![]() | ||
![]() | ||
| Nombre (IUPAC) sistemático | ||
| Ácido (2R,5R,Z)-3-(2-hidroxietiliden)-7-oxo-4-oxa-1-azabiciclo[3.2.0]heptano-2-carboxílico | ||
| Identificadores | ||
| Número CAS | 58001-44-8 | |
| Código ATC | J01(Combinaciones con penicilinas) CR (Combinaciones con penicilinas) | |
| PubChem | 5280980 | |
| DrugBank | APRD00049 | |
| ChemSpider | 4444466 | |
| UNII | 23521W1S24 | |
| KEGG | D07711 | |
| ChEBI | 48947 | |
| Datos químicos | ||
| Fórmula | C8H9NO5 | |
| Peso mol. | 199,16 | |
|
SMILES O=C2N1[C@H](C(/O[C@@H]1C2)=C/CO)C(=O)O
| ||
|
InChI InChI=1S/C8H9NO5/c10-2-1-4-7(8(12)13)9-5(11)3-6(9)14-4/h1,6-7,10H,2-3H2,(H,12,13)/b4-1-/t6-,7-/m1/s1
Key: HZZVJAQRINQKSD-PBFISZAISA-N | ||
| Farmacocinética | ||
| Metabolismo | Hepático (extensivo) | |
| Vida media | 1 hora | |
| Excreción | Renal (30–40%) | |
| Datos clínicos | ||
| Cat. embarazo | B1 (AU) Los estudios en animales no han demostrado efectos adversos sobre el feto, pero no hay estudios clínicos adecuados y bien controlados hechos en embarazadas. Puede emplearse con vigilancia médica. (EUA) | |
| Estado legal | S4 (AU) | |
| Vías de adm. | Oral, intravenosa | |
El ácido clavulánico (DCI) es un inhibidor de β-lactamasas que se combina en preparaciones antibióticas con alguna penicilina para vencer ciertos tipos de resistencias a antibióticos. Se usa para vencer la resistencia en bacterias que secretan β-lactamasa, como varias cepas de Staphylococcus aureus y algunas bacterias gram negativas, que de otra forma inactivaría la mayoría de las penicilinas.[1] En su forma más común, la sal de potasio clavulanato de potasio es combinada con amoxicilina o ticarcilina.
Fuente
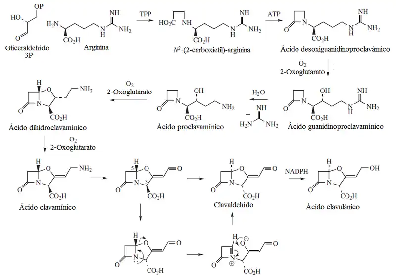
Su nombre se deriva del microorganismo Streptomyces clavuligerus, que produce ácido clavulánico.[2][3] El ácido clavulánico es biosintéticamente generado del aminoácido arginina y del monosacárido gliceraldehído-3-fosfato.
Historia
El ácido clavulánico fue descubierto alrededor de 1974-1975 por científicos británicos trabajando para la compañía farmacéutica Beecham. Después de varios intentos, Beecham finalmente solicitó una patente de protección de EE. UU. para el fármaco en 1981, y las patentes de EE. UU. 4.525.352, 4.529.720, y 4.560.552 fueron concedidas en 1985.
Mecanismo de acción
El ácido clavulánico tiene una actividad antimicrobiana intrínseca insignificante, a pesar de compartir el anillo β-lactámico que es característico de los antibióticos betalactámicos. Sin embargo, la similitud en la estructura química permite a la molécula interactuar con la enzima betalactamasa secretada por ciertas bacterias para conferir resistencia contra los antibióticos betalactámicos.[1] El ácido clavulánico es un inhibidor suicida, se une covalentemente al sitio activo de un residuo de serina de la β-lactamasa. Esto reestructura la molécula del ácido clavulánico, creando una especie mucho más reactiva que es atacada por otro aminoácido en el sitio activo, inactivándola permanentemente, y así inactivando la enzima. Esta inhibición restablece la actividad antimicrobiana de los antibióticos betalactámicos contra bacterias resistentes secretantes de lactamasa. A pesar de esto, han surgido algunas cepas que son resistentes a esta combinación[cita requerida].
Efectos adversos
El uso del ácido clavulánico con penicilinas ha sido asociado con un incremento en la incidencia de ictericia colestásica y hepatitis aguda durante la terapia o poco después, en particular en hombres y mayores de 65 años de edad. La ictericia es usualmente autolimitada y muy raramente fatal.[4]
El Comité de Seguridad de Medicamentos (Committee on Safety of Medicines) (CSM) del Reino Unido recomienda que el tratamiento con amoxicilina/ácido clavulánico sea reservado para las infecciones bacterianas conocidas de ser causadas por cepas amoxicilina-resistentes productoras de β-lactamasa, y que el tratamiento no debería exceder los 14 días.
Biosíntesis
El ácido clavulánico procede de la arginina y el gliceraldehído-3-fosfato.

Referencias
- 1 2 Bertram G Katzung; Susan B Masters; Anthony J Trevor, eds. (2009) [Primera edición: 1982]. «Capítulo 43: Lactámicos β y otros antibióticos activos en la pared y membrana celulares». Escrito en Estados Unidos. Farmacología básica y clínica. Lange médical book (11a edición edición). México: McGraw-Hill-Lange. pp. Chambers Henry F. y Deck Daniel H. ISBN 978-607-15-0336-7. OCLC 699461359.
- ↑ Arulanantham H, Kershaw NJ, Hewitson KS, Hughes CE, Thirkettle JE, Schofield CJ (enero de 2006). «ORF17 from the clavulanic acid biosynthesis gene cluster catalyzes the ATP-dependent formation of N-glycyl-clavaminic acid». J. Biol. Chem. 281 (1): 279-87. PMID 16251194. doi:10.1074/jbc.M507711200.
- ↑ Tahlan K, Park HU, Wong A, Beatty PH, Jensen SE (marzo de 2004). «Two sets of paralogous genes encode the enzymes involved in the early stages of clavulanic acid and clavam metabolite biosynthesis in Streptomyces clavuligerus». Antimicrob. Agents Chemother. 48 (3): 930-9. PMC 353097. PMID 14982786. doi:10.1128/AAC.48.3.930-939.2004.
- ↑ Joint Formulary Committee. British National Formulary, 47th edition. London: British Medical Association and Royal Pharmaceutical Society of Great Britain; 2004.
- ↑ Tortajada Girbés M, Ferrer Franco A, Gracia Antequera M, Clement Paredes A, García Muñoz E, Tallón Guerola M (2008). «Hypersensitivity to clavulanic acid in children». Allergol Immunopathol (Madr) 36 (5): 308-10. PMID 19080805. doi:10.1016/S0301-0546(08)75228-5. Archivado desde el original el 7 de abril de 2012. Consultado el 3 de diciembre de 2011.

