| Ajmalicina | ||
|---|---|---|
![]() | ||
| Nombre IUPAC | ||
| Éster metílico del ácido (19α)-16,17-dideshidro-19-metiloxayohimbano-16-carboxílico | ||
| General | ||
| Fórmula molecular | C21H24O3N2 | |
| Identificadores | ||
| Número CAS | 483-04-5[1] | |
| ChEBI | 2524 | |
| ChEMBL | CHEMBL123325 | |
| ChemSpider | 390541 | |
| DrugBank | 15949 | |
| PubChem | 441975 | |
| UNII | 4QJL8OX71Z | |
| KEGG | C09024 D08470, C09024 | |
| Propiedades físicas | ||
| Apariencia | Polvo blanco cristalino | |
| Masa molar | 352,43 g/mol | |
| Punto de fusión | 256 °C (529 K) | |
| Valores en el SI y en condiciones estándar (25 ℃ y 1 atm), salvo que se indique lo contrario. | ||
La Ajmalicina, también conocida como δ-yohimbina o raubasina, es un alcaloide con actividad antihipertensiva utilizado en el tratamiento de la presión sanguínea elevada.[2] Este compuesto ha sido comercializado con distintos nombres: Card-Lamuran, Circolene, Cristanyl, Duxil, Duxor, Hydroxysarpon, Iskedyl, Isosarpan, Isquebral, Lamuran, Melanex, Saltucin Co, Salvalion, y Sarpan.[3] Ha sido encontrado en las plantas Rauwolfia spp., Catharanthus roseus, y Mitragyna speciosa.[4][5]
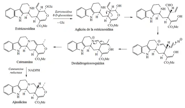
Biosíntesis
La ajmalicina es un alcaloide β-carbolínico relacionado con la yohimbina, rauwolscina, y otros derivados del yohimbano. Proviene de la estricnosidina, el precursor de los alcaloides β-carbolínicos que se obtiene por una condensación tipo Mannich de la triptamina y el iridoide secologanina.[6]

Farmacología
Al igual que la corinantina, actúa como antagonista del receptor α1-adrenérgico[7][8]
Véase también
Referencias
- ↑ Número CAS
- ↑ Wink, Michael; Roberts, M. W. "Alkaloids: biochemistry, ecology, and medicinal applications" Plenum Press, New York. (1998) isbn: 0-306-45465-3
- ↑ Wink, Michael; Roberts, M. W. "Alkaloids: biochemistry, ecology, and medicinal applications" Plenum Press, New York. (1998) isbn = 0-306-45465-3
- ↑ Kurz WG, Chatson KB, Constabel F, et al.. Alkaloid Production in Catharanthus roseus Cell Cultures VIII1. Planta Medica (1981) V.42 Issue 5. Pp 22–31. doi 10.1055/s-2007-971541
- ↑ León F, Habib E, Adkins JE, Furr EB, McCurdy CR, Cutler SJ. "Phytochemical characterization of the leaves of Mitragyna speciosa grown in U.S.A." Natural Product Communications (2009) V.4 Issue 7. Pp 907–910
- ↑ Paul M. Dewick (2009). Medicinal natural products: a biosynthetic approach. John Wiley and Sons. ISBN 9780470741689.
- ↑ Wink, Michael; Roberts, M. W. (1998). Alkaloids: biochemistry, ecology, and medicinal applications. New York: Plenum Press. ISBN 0-306-45465-3.
- ↑ Roquebert J, Demichel P. "Inhibition of the alpha 1 and alpha 2-adrenoceptor-mediated pressor response in pithed rats by raubasine, tetrahydroalstonine and akuammigine" European Journal of Pharmacology(1984) v.106 issue 1. Pp 203–205. doi = 10.1016/0014-2999(84)90698-8
