| Gas mostaza | ||
|---|---|---|
| Archivo:Sulfur-mustard-3D-vdW.png, Sulfur-mustard-3D-balls.png y Sulfur-mustard-3D-sticks.png | ||
| General | ||
| Fórmula semidesarrollada | CH3CH(Cl)CH2SCH2CH2C | |
| Fórmula estructural |
| |
| Fórmula molecular | ? | |
| Identificadores | ||
| Número CAS | 505-60-2[1] | |
| Número RTECS | WQ0900000 | |
| ChEBI | 25434 | |
| ChEMBL | CHEMBL455341 | |
| ChemSpider | 21106142 | |
| PubChem | 10461 | |
| UNII | T8KEC9FH9P | |
| KEGG | C19164 | |
| Propiedades físicas | ||
| Masa molar | 157,972 g/mol | |
| Índice de refracción (nD) | 1,5313 | |

Los gases mostaza son una familia de productos químicos empleados fundamentalmente como armas químicas, también conocidos como iperita, de Ypres, ciudad belga donde los alemanes lo usaron por primera vez en 1915 durante la Primera Guerra Mundial.[2] El gas mostaza fue sintetizado para acosar e incapacitar al enemigo y contaminar el campo de batalla. Viktor Meyer describe su síntesis a mediados de 1800, pero no fue quien lo descubrió, ni el primero en dar cuenta de sus efectos. El desarrollo de la producción de gas mostaza a gran escala se debe al químico alemán Wilhelm Steinkopf.
También se les denomina agentes vesicantes, pues al contacto con el ser humano causan ampollas en la piel y las membranas mucosas, lo cual suele conllevar consecuencias como la muerte por asfixia agónica.
Mostaza sulfurada
La mostaza sulfurada (bis(2-cloroetil)sulfano) es un tipo de agente químico utilizado como arma de guerra. La mostaza sulfurada también se conoce como gas mostaza o "agente mostaza” o por sus denominaciones militares H, HD y HT.
La mostaza pura es un líquido incoloro y viscoso (punto de ebullición 217 °C) a temperatura ambiente, aunque erróneamente, se considera que es un gas debido a que se dispersa en el campo de batalla como aerosol. Como aerosol tiene un olor parecido al ajo, a la cebolla o a la mostaza. Cuando está impura, su color varía del amarillo claro al marrón.
Como arma de guerra, el gas mostaza se utilizó por primera vez durante Primera Guerra mundial en julio de 1917 antes de la Tercera Batalla de Ypres (de ahí uno de los nombres de la mostaza: iperita). El gas mostaza no tiene aplicaciones médicas conocidas. Las mostazas nitrogenadas (ver a continuación) son, sin embargo, el origen de la terapia antitumoral..
Mostazas nitrogenadas

Las mostazas nitrogenadas (bis-2-cloroetilaminas o β-haloalquilaminas) fueron producidas en los años 1920 y 1930, también como armas químicas de guerra. Fueron el primer caso registrado de uso de armas químicas contra población civil, en 1924 como venganza por el desastre de Annual donde muchos soldados españoles fueron ejecutados tras rendirse, durante la guerra del Rif, la aviación española arrojó bombas de gas mostaza, fosgeno y otros gases tóxicos, sobre los habitantes bereberes y sus aldeas. Son potentes irritantes que dañan la piel, ojos y vías respiratorias, entran en las células del cuerpo muy rápidamente y dañan el sistema inmunológico y la médula ósea.[3]
En fase gaseosa puede oler a pescado, moho, jabón o frutas. Por debajo de 21 °C pasa a fase líquida, donde adopta un color claro, ámbar pálido o amarillo, y textura oleosa, y es inofensivo. Debido a ello, durante los inviernos de la Gran Guerra, los alemanes lanzaban proyectiles con mostaza nitrogenada líquida que, al caer sobre el campo de batalla, impregnaban a algunos soldados enemigos. Estos, desconocedores del peligro latente, se guarecían en las galerías y conductos de las trincheras donde, al evaporarse el agente químico, causaba la muerte a todo el que no escapase a tiempo al exterior. De forma natural no se encuentran en el ambiente.
También se conocen por sus denominaciones militares HN-1, HN-2 y HN-3.[4]
Fueron los primeros agentes alquilantes con aplicación terapéutica. Se usan principalmente como antineoplásicos.[3]
Mecanismo de acción
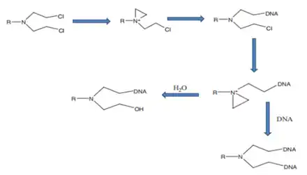
Las mostazas nitrogenadas son compuestos muy reactivos debido a que el nitrógeno, con su par de electrones no compartido, puede formar sales de aziridinio. Estas sales son especies fuertemente electrófilas que reaccionan con grupos nucleofilos del ADN formando un enlace covalente. Debido a su estructura (bis-2-cloroetilaminas), cada molécula podrá dar lugar a dos enlaces covalentes.
Pueden reaccionar con el ADN ya que a que es rico en centros nucleofílicos, especialmente el átomo de nitrógeno de la posición 7 de la guanina. Constituye uno de los grupos más reactivos frente a electrófilos.
El fundamento químico de la alteración de la estructura del ADN por las β-haloalquilaminas se basa en la formación de enlaces covalentes cruzados con un resto de guanina de cada una de las hebras de ADN, produciéndose la distorsión correspondiente[3][5]

Designaciones militares de las mostazas nitrogenadas
HN-1 fue diseñado originalmente para eliminar las verrugas, pero más tarde se identificó como un agente potencial de guerra química.
HN-2 fue diseñado como un agente militar pero más tarde fue utilizado en el tratamiento del cáncer. Hoy en día ha sido reemplazado por otros agentes para el tratamiento del cáncer.
HN-3 fue diseñado únicamente como un agente militar.[4]
Formas de intoxicación
| Medio | Vía de exposición |
|---|---|
| Aire (en forma de vapor)* | Cutánea
Ocular Inhalatoria |
| Agua | Ingestión
Cutánea |
*Debido a que es más pesado que el aire, el vapor de la mostaza nitrogenada se asientan en las zonas bajas.[5]
Tabla 1: vías de intoxicación en función del medio por mostazas nitrogenadas.
Signos y síntomas
Posibles efectos en la salud a corto plazo
Los efectos para la salud causados por las mostazas nitrogenadas dependen de la cantidad a la que están expuestas las personas, la forma y el tiempo de exposición.
Por lo general, los signos y síntomas de la exposición no se producen inmediatamente. Dependiendo de la severidad de la exposición, los síntomas pueden aparecer tras varias horas.
Pueden producir los siguientes efectos en partes específicas del cuerpo:
- Piel: enrojecimiento seguido de ampollas a las 6-12 horas.
- Ojos: puede aparecer irritación, dolor, hinchazón y lagrimeo y a concentraciones altas pueden causar quemaduras y ceguera.
- Tracto respiratorio: dolor sinusal, tos, dolor de garganta y dificultad para respirar.
- Aparato digestivo: dolor abdominal, diarrea, náuseas y vómitos.
- Cerebro: temblores, falta de coordinación y convulsiones después de una larga exposición.
La presencia de estos signos y síntomas no indica necesariamente que una persona haya estado expuesta a una mostaza nitrogenada.[4]
Posibles efectos en la salud a largo plazo
La exposición a la mostaza nitrogenadas puede producir:
- Si están en forma líquida, por vía percutánea, quemaduras de segundo y tercer grado y cicatrización.
- En forma de vapor, por vía inhalatoria, enfermedad respiratoria crónica y por vía ocular, problemas en los ojos.
A partir de tercer/quinto día pueden aparecer síntomas de supresión de la médula ósea que desencadenan anemia, sangrado y un mayor riesgo de infección. En las situaciones más graves podrían llegar a ocasionar la muerte.
También se ha observado cáncer en animales tras exposiciones prolongadas o repetidas y existen evidencias de que causan leucemia en los seres humanos.[4]
Protocolo de actuación en caso de exposición
- Abandonar la zona de liberación del tóxico (si se produce en un espacio cerrado salir de él y si ocurre a nivel ambiental ir a zonas de mayor altitud). Es conveniente ir a una zona de aire fresco para reducir la posibilidad de muerte.
- Comunicar a los coordinadores de emergencia toxicológica para garantizar una evacuación eficaz.
- Si hay sospecha de haber estado expuesto, es conveniente quitarse la ropa (preferiblemente cortando las prendas), lavar rápidamente todo el cuerpo con agua y jabón y buscar atención médica lo más pronto posible.
- Si se presenta visión borrosa o escozor en los ojos, enjuagarlos con agua durante 10-15 minutos.
- Las lentes de contacto deben ser desechadas junto con la ropa contaminada y en caso de usar gafas limpiarlas con agua y jabón.
- Introducir en una bolsa de plástico los productos desechados con ayuda de guantes de goma o pinzas. A continuación sellar la bolsa, colocarla en otra bolsa y entregarla al Departamento de Salud Local o Estatal de Emergencia.
- En caso de ingesta del tóxico no hay que provocarse el vómito ni beber ningún tipo de líquido.[4]
Antídoto
No existe antídoto para esta exposición. El tratamiento consiste en la eliminación del tóxico del organismo con la mayor rapidez posible y garantizar una atención médica.[4]
Referencias
- ↑ Número CAS
- ↑ «EL GAS MOSTAZA». Issuu (en inglés). Consultado el 28 de mayo de 2018.
- 1 2 3 Delgado Cirilo, Antonio. Introducción a la Química Terapéutica.
- 1 2 3 4 5 6 «Facts About Nitrogen Mustard». Consultado el 9 de noviembre de 2018.
- 1 2 D. Klaassen, Curtis. Toxicology, the Basic Science of Poisons.
- ATSDR en Español - ToxFAQs™: agentes que causan ampollas: mostazas de nitrógeno (HN-1, HN-2, HN-3)
- ATSDR en Español - ToxFAQs™: agentes que causan ampollas: mostaza de azufre (H/HD, HT)
- ATSDR en Español - ToxFAQs™: agentes que causan ampollas: lewisita (L), mezcla de mostaza-lewisita (HL)
- ATSDR en Español - ToxFAQs™: mostaza de azufre
- Centros para el Control y la Prevención de Enfermedades (CDC)
Enlaces externos
Wikimedia Commons alberga una categoría multimedia sobre Gas mostaza.