
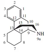
Morfinano
Los morfinanos son un grupo de fármacos derivados de la morfina, resultado de la eliminación del anillo E.
Algunos representantes de este grupo son morfinano, levorfanol (el cual es 5 veces más activo que morfina y presenta mejor absorción oral), dextrometorfano (un buen antitusígeno que no produce toxicomanía), oxilorfano, Dextrorfano, levalorfano (un potente antagonista).
Los efectos de los morfinanos se deben a la acción en receptores opioides k, que son receptores opioides no prototípicos de la morfina. Por otra parte, se comportan como antagonistas de los receptores opioides de la morfina (µ) y por ello pueden desencadenar un síndrome de abstinencia.[1]
Referencias
Este artículo ha sido escrito por Wikipedia. El texto está disponible bajo la licencia Creative Commons - Atribución - CompartirIgual. Pueden aplicarse cláusulas adicionales a los archivos multimedia.